zadnja posodobitev :
27/11/2025
Antibiotik   Tobramycin sulfate   
Kapljice za oči
Aerosol Brizgalka Peroralna raztopina
Stabilnost farmacevtskih preparatov Stabilnost mešanice Faktorji, ki vplivajo na stabilnost Kompatibilnost Viri pdf
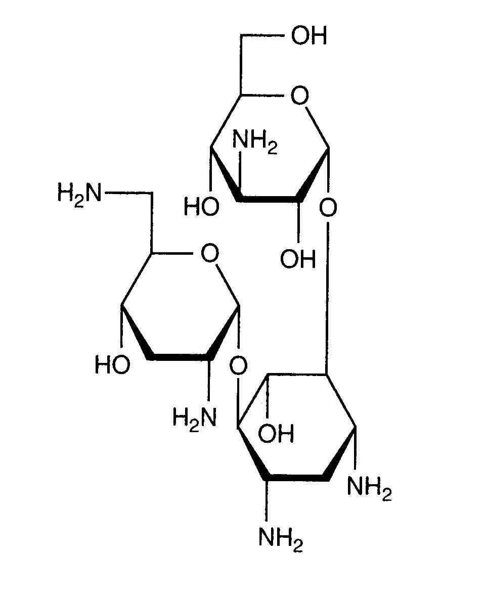
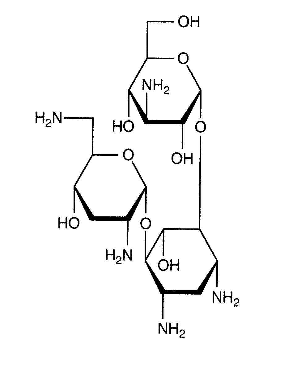
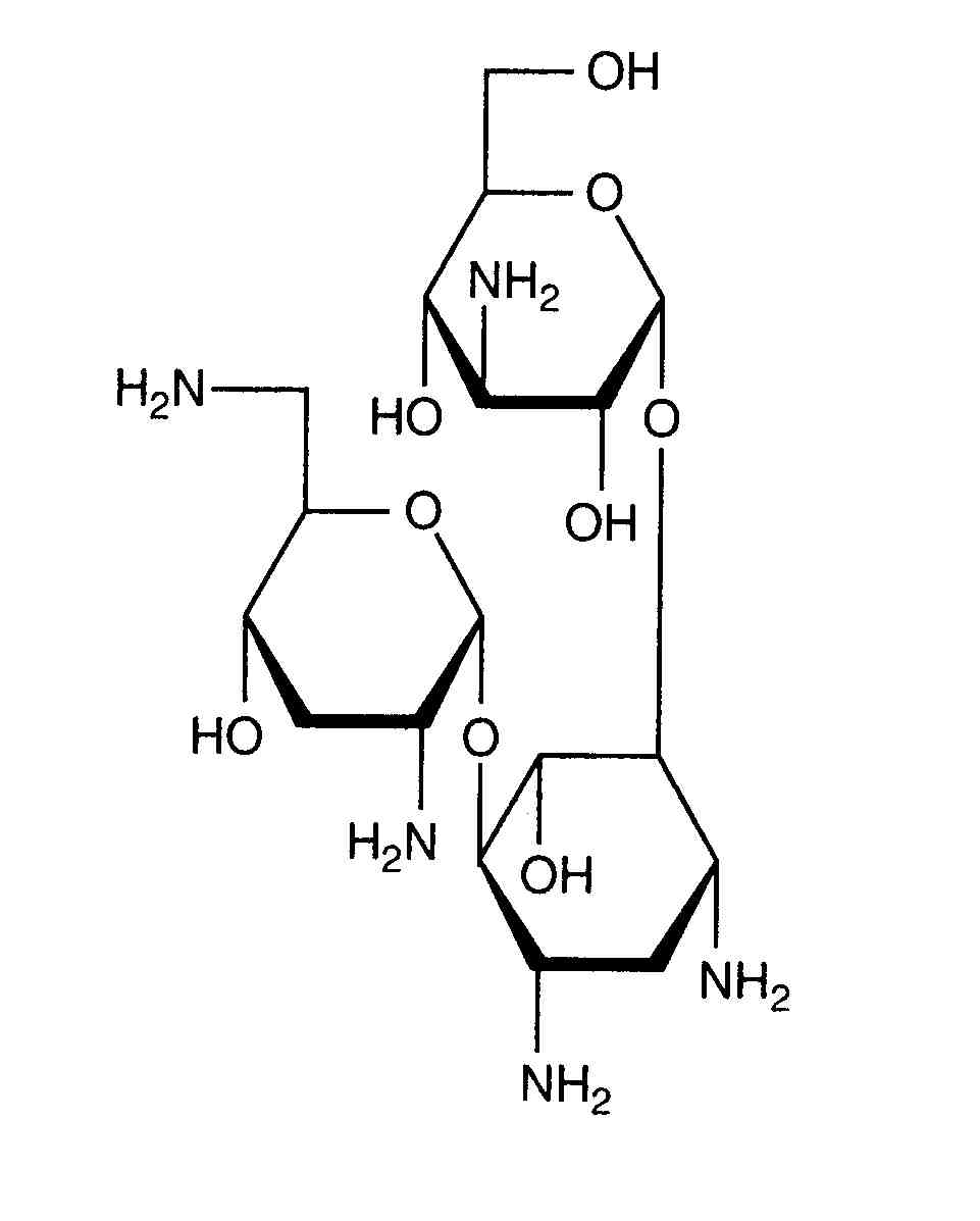
   Kemična formula  

Kapljice za oči
Stabilnost farmacevtskih preparatov   Kapljice za oči   Stabilnost farmacevtskih preparatov : Tobramycin sulfate      
Vsebnik Origine Ekscipient Temperatura Shranjevanje Trajanje stabilnosti Viri
Plastenka Medicinske steklenica za injiciranje 5 ml
Nebcin® 40 mg/ml
Tobrex® 3 mg/ml kapljice za oči 2 ml
4-8°C Zaščiteno pred svetlobo
90 Dan
2487


  Mentions Légales