Seneste opdatering :
18/03/2026
Antibiotisk   Tobramycin sulfate   
Øjendråber
Aerosol Injektion Oral opløsning
Stabilitet af farmaceutiske tilberedninger Stabilitet i blandinger Faktorer der påvirker stabiliteten Kompatibilitet Bibliografi pdf
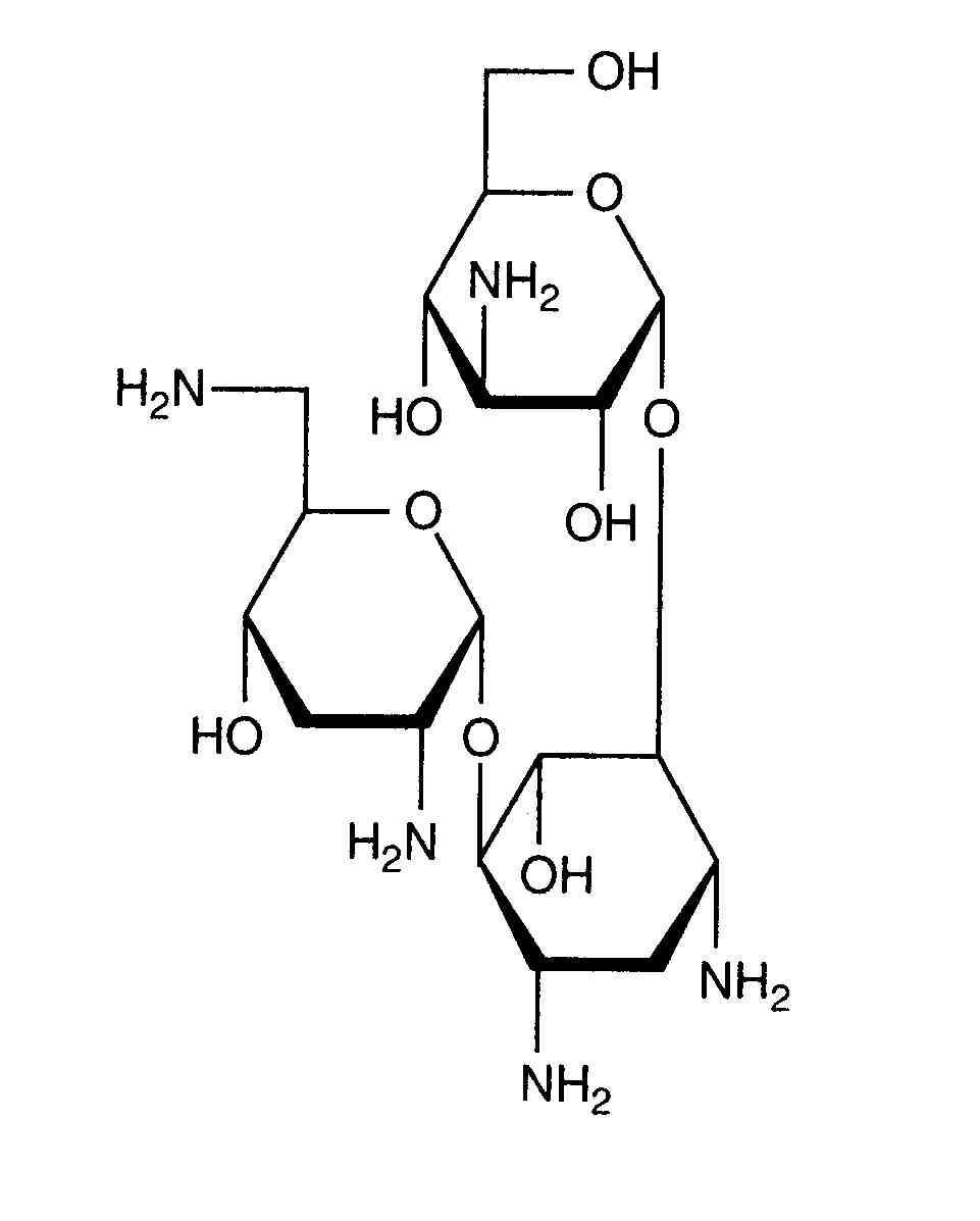
   Kemisk struktur  

Øjendråber
Stabilitet af farmaceutiske tilberedninger   Øjendråber   Stabilitet af farmaceutiske tilberedninger : Tobramycin sulfate      
Beholder Origine Hjælpestof Temperatur Konservering Varighed af stabilitet Bibliografi
Plastflaske Medicinflaske til injektion 5 ml
Nebcin® 40 mg/ml
Tobrex® 3 mg/ml øjendråber 2 ml
4-8°C Beskyt mod lys
90 Dag
2487


  Mentions Légales