Pēdējā atjaunošana :
18/03/2026
Antibiotika   Tobramycin sulfate   
Acu pilieni
Aerosols Injekcija Orāls šķīdums
Stabilitāte farmaceitisko preparātu Maisījuma stabilitāte Stabilitāti ietekmējoši faktori Saderība Literatūras saraksts pdf
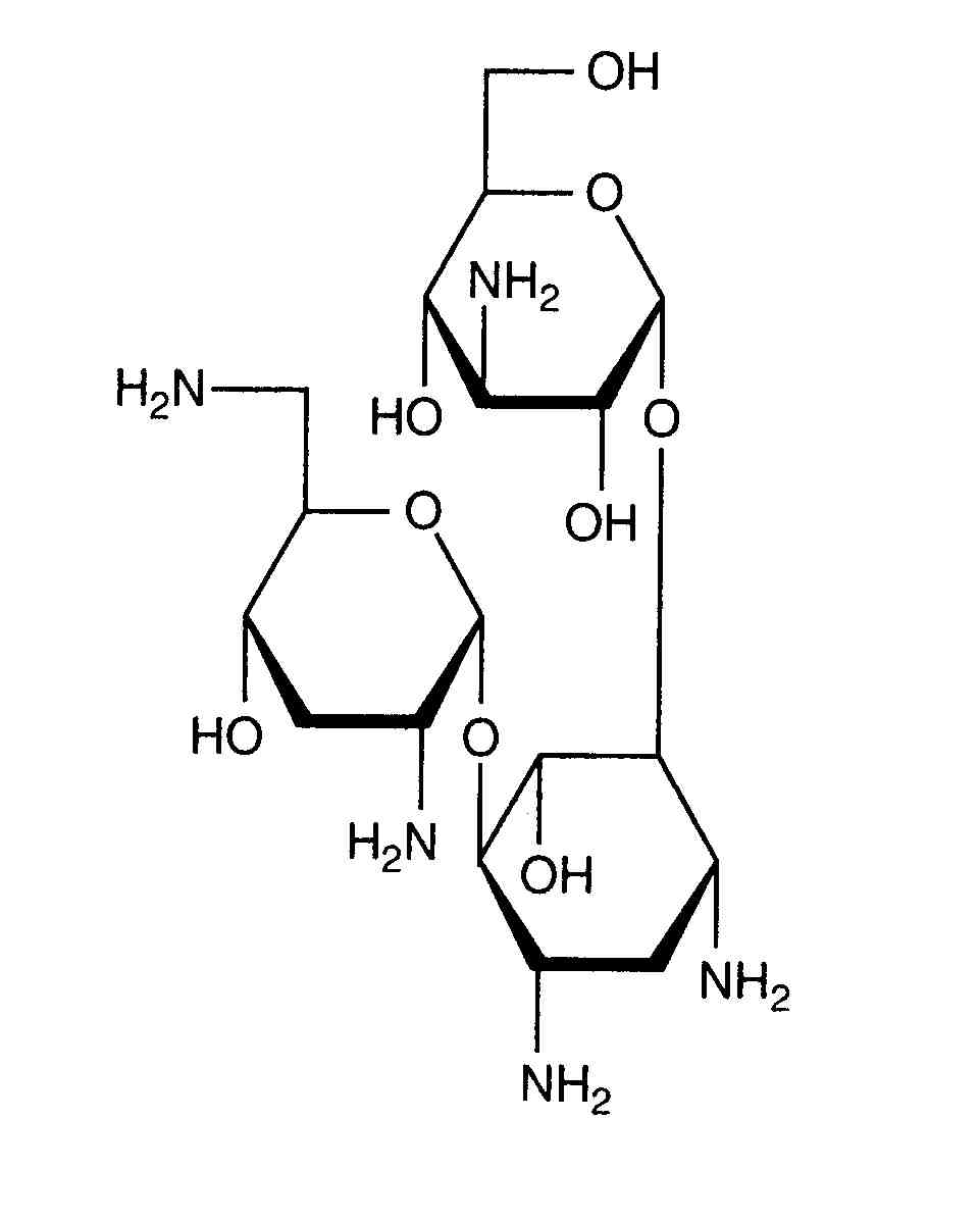
   Ķīmiskā uzbūve   

Acu pilieni
Stabilitāte farmaceitisko preparātu   Acu pilieni   Stabilitāte farmaceitisko preparātu : Tobramycin sulfate      
Iepakojums Origine Palīgviela Temperatūra Glabāšana Stabilitātes ilgums Literatūras saraksts
Plastmasas pudele Medicīniskā pudele injekcijām 5 ml
Nebcin® 40 mg/ml
Tobrex® 3 mg/ml acu pilieni 2 ml
4-8°C Aizsargāt no gaismas
90 Diena
2487


  Mentions Légales