Последно актуализиране :
27/11/2025
Антибиотик   Tobramycin sulfate   
Капки за очи
Аерозол Инжекция/Инжекционен Орален разтвор
Стабилност на лекарствени препарати Стабилност на смеси Фактори, повлияващи стабилността Съвместимост Библиография Pdf
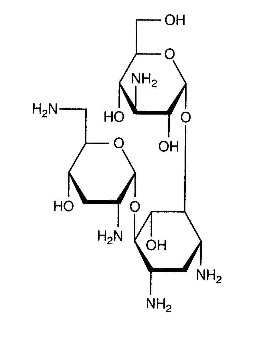
   Химична структура  

Капки за очи
Стабилност на лекарствени препарати   Капки за очи   Стабилност на лекарствени препарати : Tobramycin sulfate      
Контейнер Origine Помощно вещество Температура Съхранение Продължителност на стабилността Библиография
Пластмасова бутилка Фпакон 5 ml
Nebcin® 40 mg/ml
Тобрекс® 3 mg/ml капки за очи 2 ml
4-8°C Защита от светлина
90 Ден
2487


  Mentions Légales