Senaste uppdateringen :
18/03/2026
Antibiotikum   Tobramycin sulfate   
ögondroppar
Aerosol injektion Oral lösning
Stabilitet av läkemedel Stabilitet i blandningar Faktorer som påverkar stabiliteten Kompatibilitet Hänvisningar pdf
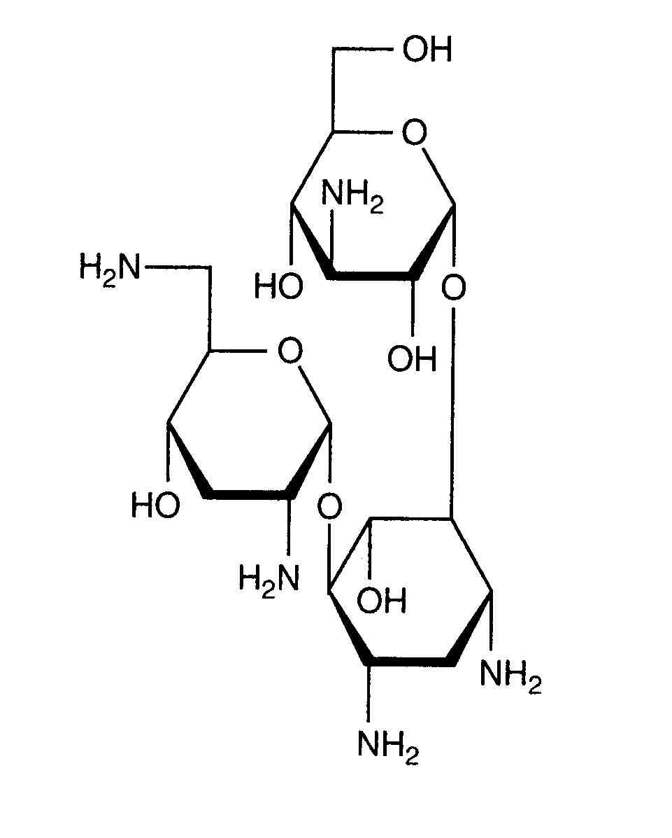
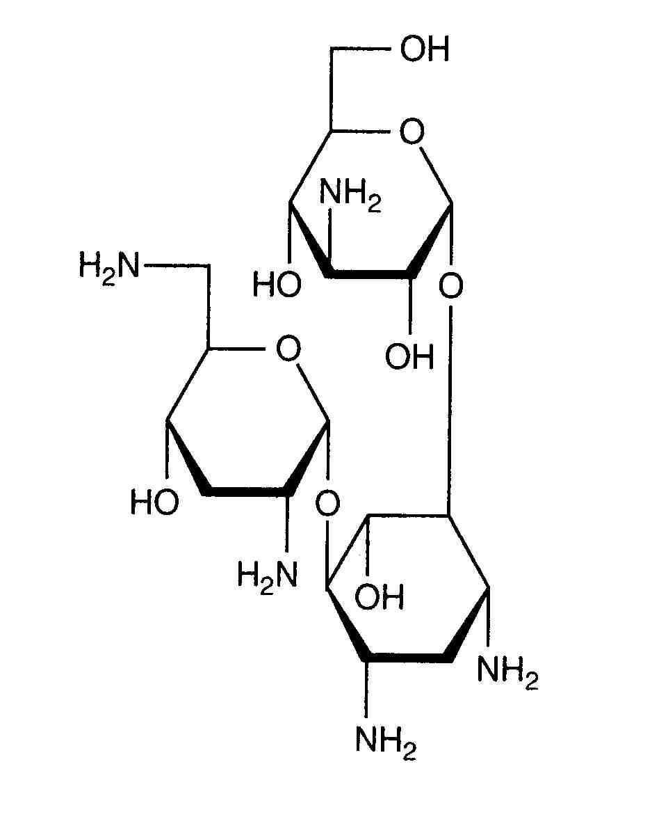
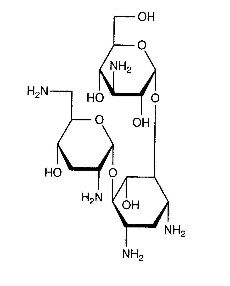
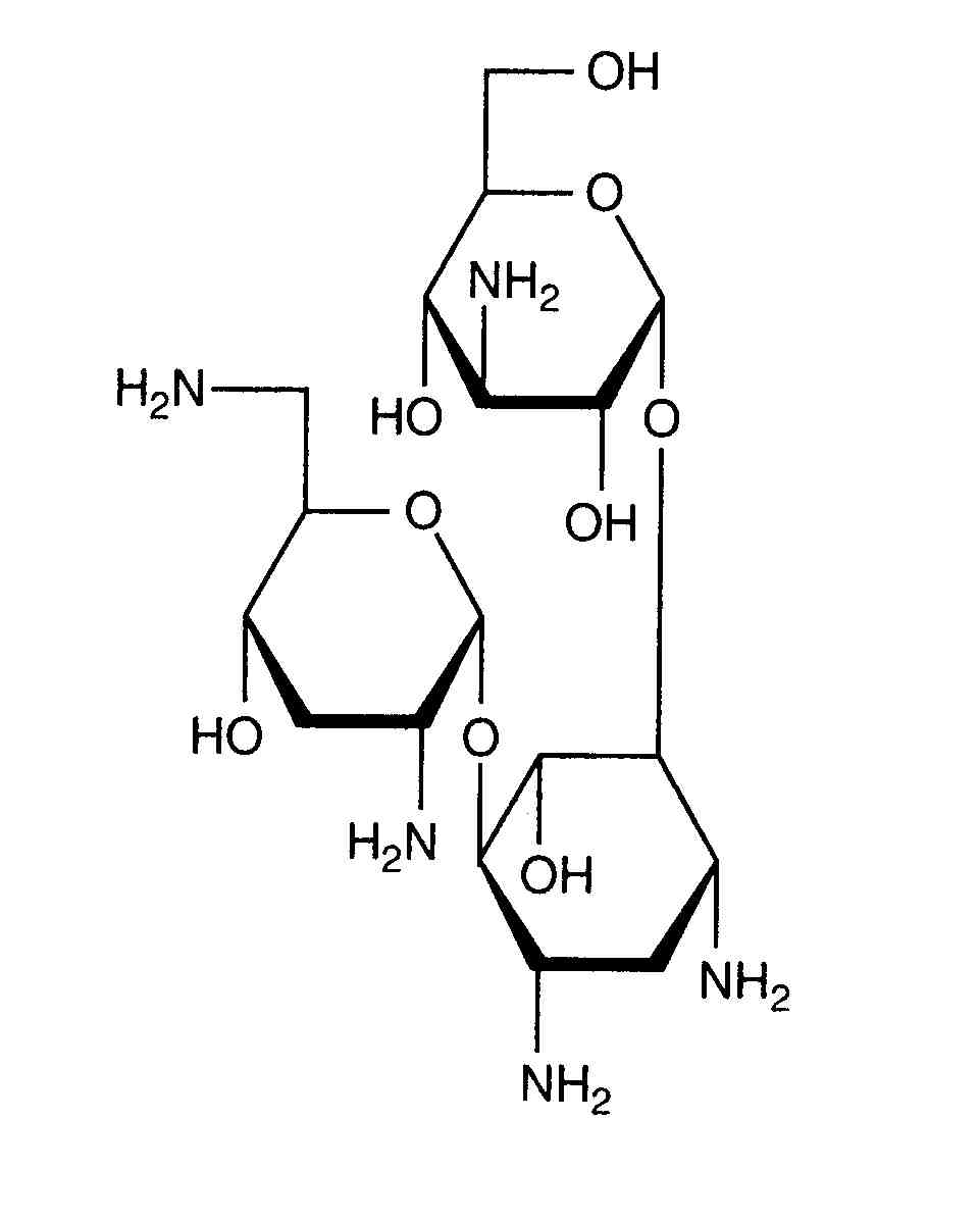
   Molekylstruktur  

ögondroppar
Stabilitet av läkemedel   ögondroppar   Stabilitet av läkemedel : Tobramycin sulfate      
Behållare Origine Hjälpämne Temperatur Förvaring Stabilitets varaktighet Hänvisningar
Plastflaska injektionsflaska 5 ml
Nebcin® 40 mg/ml
Tobrex® 3 mg/ml ögondroppe 2 ml
4-8°C Skyddas från ljus
90 Dag
2487


  Mentions Légales