Последнее обновление :
05/12/2025
Противогрибковое средство   Amphotericin B  
Аэрозоль
Глазные капли Инъекция Ополаскиватель для полости рта Раствор для перорального приёма
Стабильность фармацевтических препаратов Стабильность смесей Факторы, которые влияют на стабильность Совместимость Библиография pdf
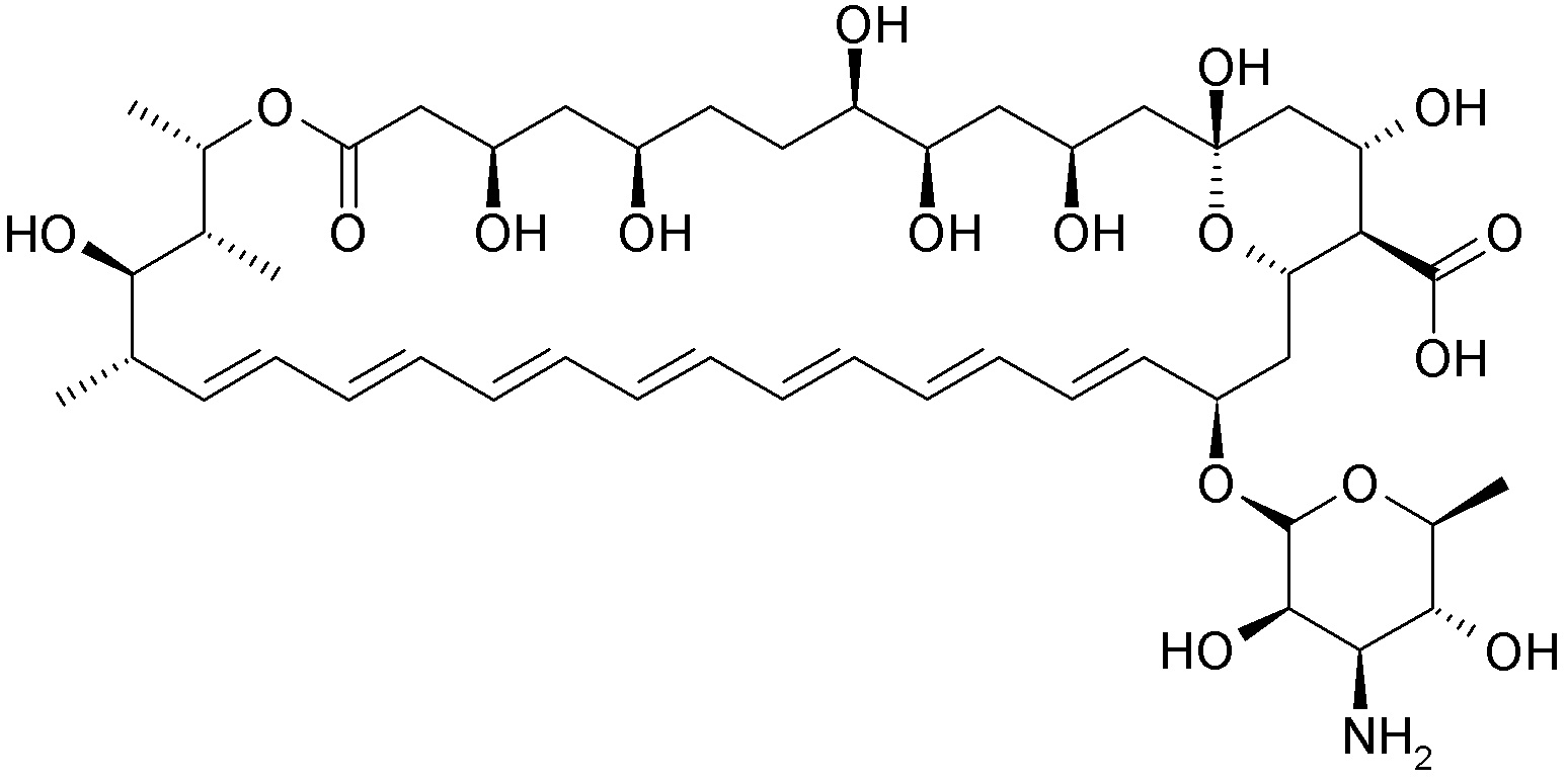
   Химическая структура  

Аэрозоль
Стабильность фармацевтических препаратов   Аэрозоль   Стабильность фармацевтических препаратов : Amphotericin B     
Упаковка Origine Наполнитель Температура Хранение Продолжительность стабильности Ссылки
Стекло Медицинская бутылка для инъекций 50 mg
Fungizona® (Squibb Industria Farmaceutica)
Вода для инъекций >> 50 ml
20-25°C И на свету и в темноте
30 День
3069

Стекло Медицинская бутылка для инъекций 50 mg
Fungizona® (Squibb Industria Farmaceutica)
Вода для инъекций >> 50 ml
4-8°C Защищён от света
30 День
3069


  Mentions Légales