Viimeisin päivitys :
18/03/2026
Infostab
Luettelo yhdisteistä
Yhteenveto-luettelot
Etsi yhteensopivuutta
Y-sivuston yhteensopivuustaulukko
Viitteet
tutkimus Joukkueet
valistab
ilmoitus
Liitännät
sponsorit
Tekijät
Käyttöohje
Uutiskirje
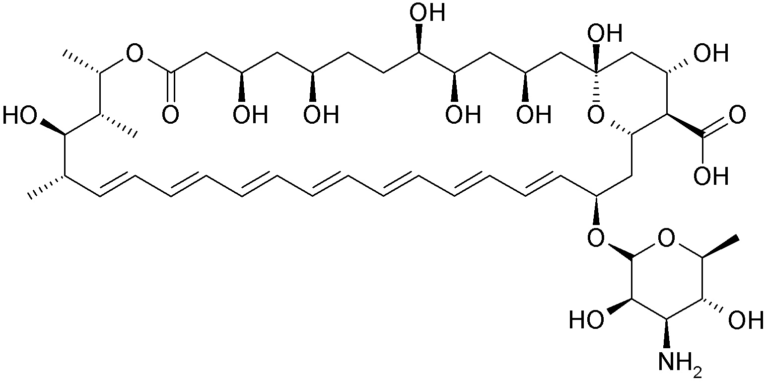
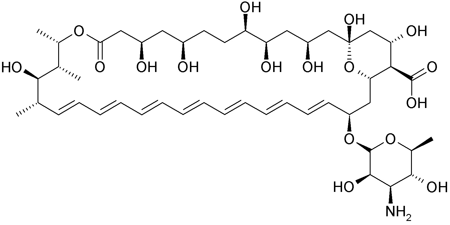
Amphotericin B
Kemiallinen rakenne
Vakaus lääkevalmisteen : Amphotericin B
50 mg
Fungizona® (Squibb Industria Farmaceutica)
Injektioneste
>> 50 ml
20-25°C
30
3069
50 mg
Fungizona® (Squibb Industria Farmaceutica)
Injektioneste
>> 50 ml
4-8°C
30
3069
Mentions Légales