Τελευταία ενημέρωση :
27/11/2025
Infostab
Καταστάσεις
Περίληψη καταλόγων
Αναζήτηση συμβατοτήτων
Πίνακας Συμβατότητας Υ κέντρου
Βιβλιογραφία
Ερευνητικές ομάδες
valistab
αφίσα
συνδέσεις
χορηγούς
Συγγραφείς
Οδηγίες χρήσης
Ενημερωτικό δελτίο
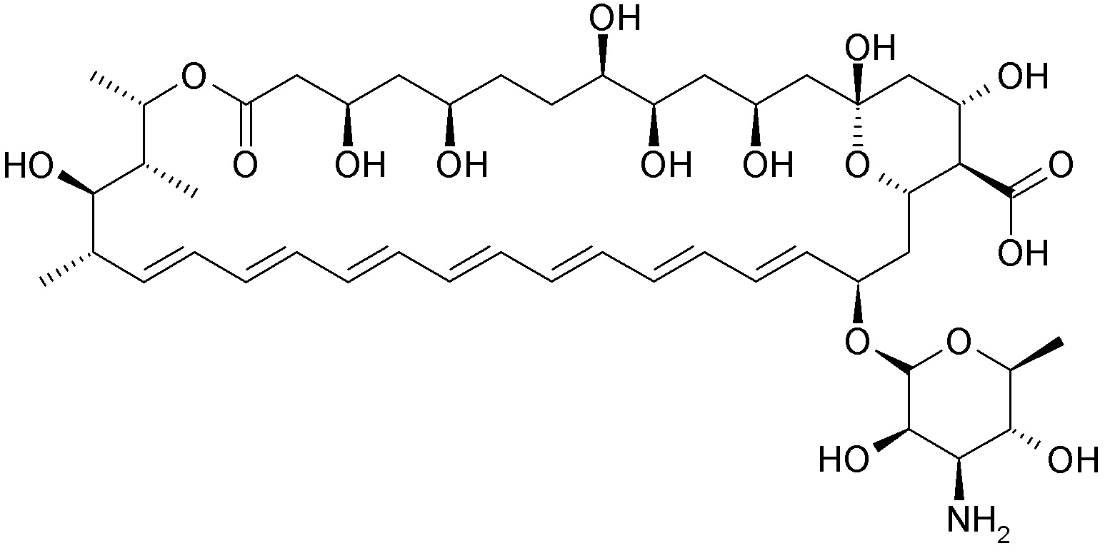
Amphotericin B
χημική δομή
Σταθερότητα και συμβατότητα των φαρμάκων : Amphotericin B
50 mg
Fungizona® (Squibb Industria Farmaceutica)
Ύδωρ για ενέσιμα
>> 50 ml
20-25°C
30
3069
50 mg
Fungizona® (Squibb Industria Farmaceutica)
Ύδωρ για ενέσιμα
>> 50 ml
4-8°C
30
3069
Mentions Légales