Letztes “update” :
27/11/2025
Antifungoid   Amphotericin B  
Aerosol
Augentropfen Injektion Lösung zum Einnehmen Mundspüllösung
Stabilität von pharmazeutischen Präparaten Gemengestabilität Stabilitätbeeinflussende Faktoren Kompatibilitäten Literaturverzeichnis pdf
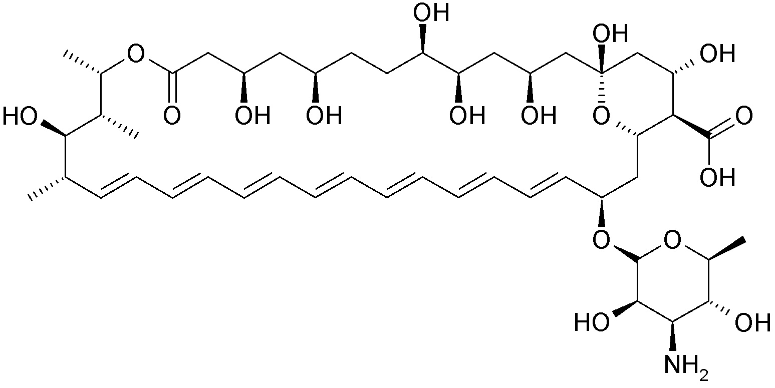
   Chemische Struktur  

Aerosol
Stabilität von pharmazeutischen Präparaten   Aerosol   Stabilität von pharmazeutischen Präparaten : Amphotericin B     
Behälter Origine Hilfsstoff Temperatur Konservierung Dauer der Stabilität Literaturverzeichnis
Glas Injektionsflasche 50 mg
Fungizona® (Squibb Industria Farmaceutica)
Wasser für Injektionszwecke >> 50 ml
20-25°C Mit oder ohne Licht
30 Tag
3069

Glas Injektionsflasche 50 mg
Fungizona® (Squibb Industria Farmaceutica)
Wasser für Injektionszwecke >> 50 ml
4-8°C Ohne Licht
30 Tag
3069


  Mentions Légales