Poslední aktualizace :
05/12/2025
Priešgrybelinis vaistas   Amphotericin B  
Aerozolis
Akių lašai Geriamas tirpalas Įpurškimas Skystis burnai skalauti
Stabilumas farmacinių preparatų Mišinių stabilumas Stabilumą lemiantys veiksniai Suderinamumas Bibliografija pdf
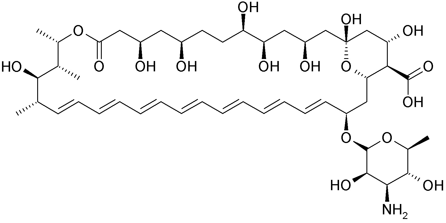
   Cheminė sandara  

Aerozolis
Stabilumas farmacinių preparatų   Aerozolis   Stabilumas farmacinių preparatų : Amphotericin B     
Pakuotė Origine Ekscipientas Temperatūra Laikymas Stabilumo trukmė Nuorodos
Stiklas Vaistų buteliukas injekcijoms 50 mg
Fungizona® (Squibb Industria Farmaceutica)
Injekcijų vanduo >> 50 ml
20-25°C Ir šviesoje, ir tamsoje
30 Diena
3069

Stiklas Vaistų buteliukas injekcijoms 50 mg
Fungizona® (Squibb Industria Farmaceutica)
Injekcijų vanduo >> 50 ml
4-8°C Apsaugotas nuo šviesos
30 Diena
3069


  Mentions Légales