Последно актуализиране :
27/11/2025
Противогъбично средство   Amphotericin B  
Аерозол
Инжекция/Инжекционен Капки за очи Орален разтвор Разтвор за уста
Стабилност на лекарствени препарати Стабилност на смеси Фактори, повлияващи стабилността Съвместимост Библиография Pdf
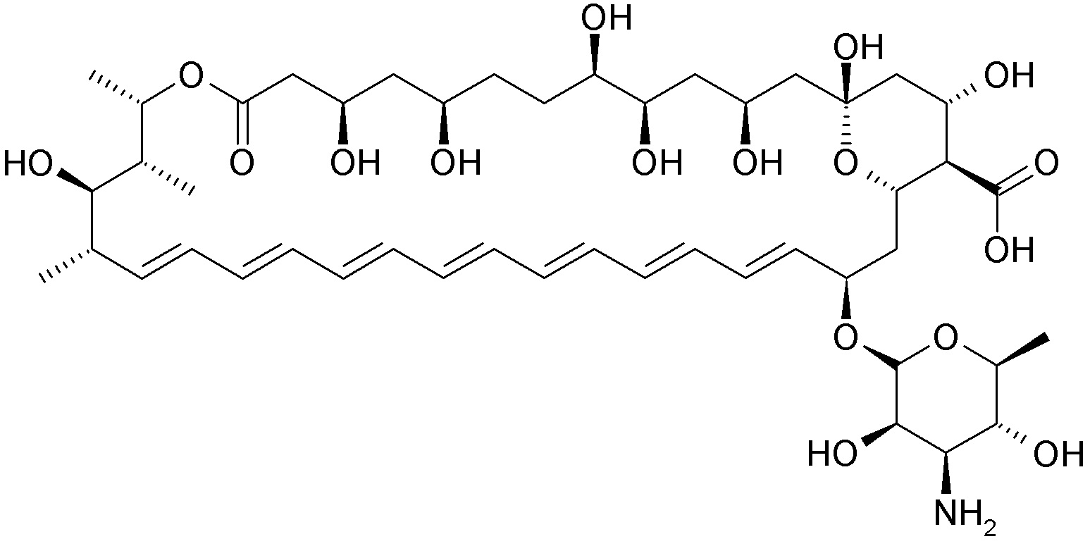
   Химична структура  

Аерозол
Стабилност на лекарствени препарати   Аерозол   Стабилност на лекарствени препарати : Amphotericin B     
Контейнер Origine Помощно вещество Температура Съхранение Продължителност на стабилността Библиография
Стъкло Фпакон 50 mg
Fungizona® (Squibb Industria Farmaceutica)
Вода за инжекции >> 50 ml
20-25°C С или без светлина
30 Ден
3069

Стъкло Фпакон 50 mg
Fungizona® (Squibb Industria Farmaceutica)
Вода за инжекции >> 50 ml
4-8°C Защита от светлина
30 Ден
3069


  Mentions Légales