最新更新 :
27/11/2025
Infostab
药品清单
简要表
搜索兼容性
Y 站点兼容性表
引用文献
研究小組
valistab
海报
鏈接
贊助商
作者
使用指南
时讯
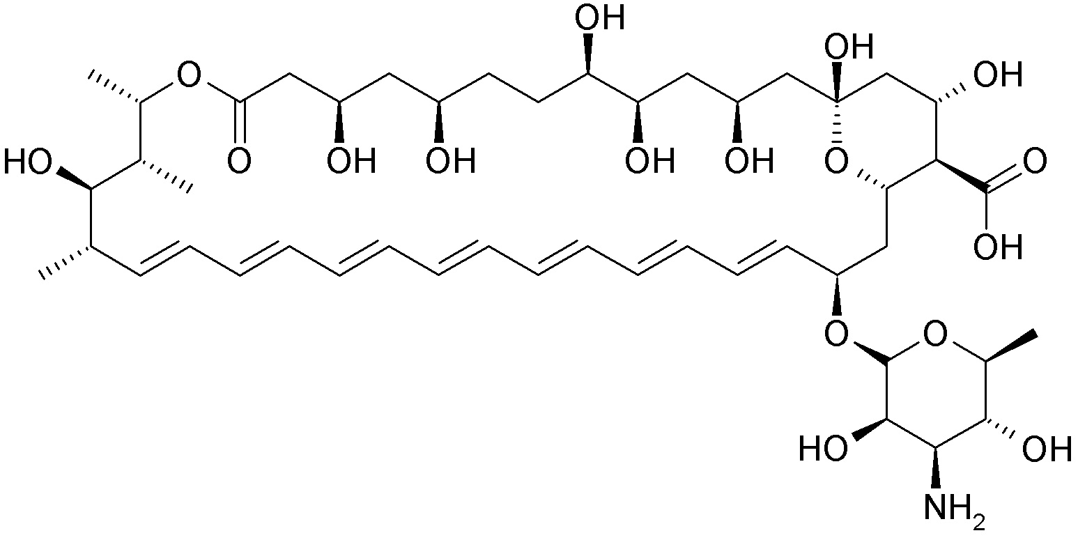
Amphotericin B
化学式
制剂的稳定性 : Amphotericin B
50 mg
Fungizona® (Squibb Industria Farmaceutica)
注射用蒸留水
>> 50 ml
20-25°C
30
3069
50 mg
Fungizona® (Squibb Industria Farmaceutica)
注射用蒸留水
>> 50 ml
4-8°C
30
3069
Mentions Légales