Seneste opdatering :
18/03/2026
Antisvampe   Amphotericin B  
Aerosol
Injektion Mundskyllevæske Oral opløsning Øjendråber
Stabilitet af farmaceutiske tilberedninger Stabilitet i blandinger Faktorer der påvirker stabiliteten Kompatibilitet Bibliografi pdf
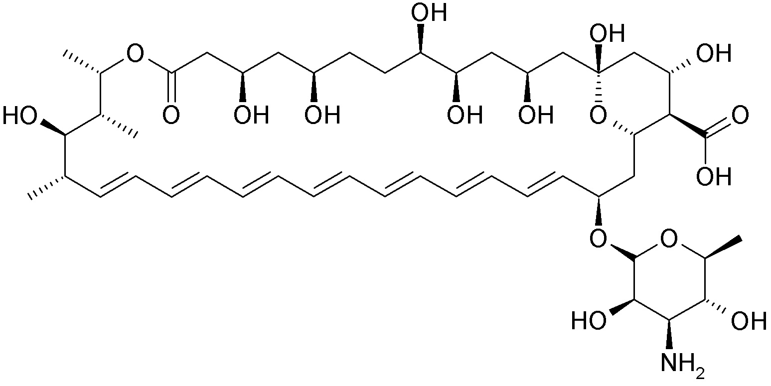
   Kemisk struktur  

Aerosol
Stabilitet af farmaceutiske tilberedninger   Aerosol   Stabilitet af farmaceutiske tilberedninger : Amphotericin B     
Beholder Origine Hjælpestof Temperatur Konservering Varighed af stabilitet Bibliografi
Glas Medicinflaske til injektion 50 mg
Fungizona® (Squibb Industria Farmaceutica)
Vand til injektion >> 50 ml
20-25°C Med eller uden lys
30 Dag
3069

Glas Medicinflaske til injektion 50 mg
Fungizona® (Squibb Industria Farmaceutica)
Vand til injektion >> 50 ml
4-8°C Beskyt mod lys
30 Dag
3069


  Mentions Légales