Cập nhật lần cuối :
18/03/2026
điện giải   Calcium gluconate  
Dạng bôi da
Dạng tiêm
Tính ổn định của các chế phẩm Độ ổn định khi trộn lẫn Những yếu tố ảnh hưởng đến độ ổn định Khả năng tương thích Tài liệu tham khảo Pdf
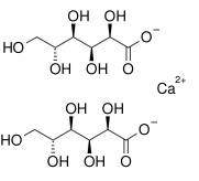
   Cấu trúc hóa học  

Dạng bôi da
Tài liệu tham khảo   Dạng bôi da   Tài liệu tham khảo : Calcium gluconate  
Loại Nguồn
3017 Tạp chí Rotheli-Simmen B, Martinelli E, Muhlebach S.
Formulation of a stable calcium gluconate gel for topical treatment of hydrofluoric acid burns.
Eur Hosp Pharm 1996 ; 2: 176-180.

  Mentions Légales