Poslední aktualizace :
18/03/2026
Infostab
Junginių sąrašas
Sąrašai
Ieškoti suderinamumo
Y formos suderinamumo lentelė
Bibliografija
Mokslinių tyrimų Komandos
valistab
plakatas
Jungtys
rėmėjai
Autorius
Naudojimo instrukcija
Biuletenį
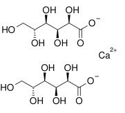
Calcium gluconate
Cheminė sandara
Bibliografija : Calcium gluconate
tipas
leidinys
3017
Žurnalas
Rotheli-Simmen B, Martinelli E, Muhlebach S.
Formulation of a stable calcium gluconate gel for topical treatment of hydrofluoric acid burns.
Eur Hosp Pharm 1996 ; 2: 176-180.
Mentions Légales