آخر تحديث :
27/11/2025
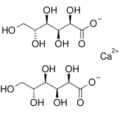
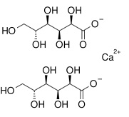
المنحل بالكهرباء   Calcium gluconate  
المراهم
حقن
استقرار المستحضرات الصيدلانية استقرار مخاليط العوامل التي تؤثر على الاستقرار التوافق مراجع pdf
   التركيب الكيميائي  

المراهم
مراجع   المراهم   مراجع : Calcium gluconate  
نوع منشور
3017 مجلة Rotheli-Simmen B, Martinelli E, Muhlebach S.
Formulation of a stable calcium gluconate gel for topical treatment of hydrofluoric acid burns.
Eur Hosp Pharm 1996 ; 2: 176-180.

  Mentions Légales