Ultimele actualizari :
18/03/2026
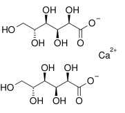
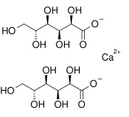
electrolit   Calcium gluconate  
Unguente
Injectabil
Stabilitatea preparatelor farmaceutice Stabilitatea in amestec Factorii care influenteaza stabilitatea Compatibilitate Bibliografie pdf
   Formula chimica  

Unguente
Bibliografie   Unguente   Bibliografie : Calcium gluconate  
tip publicare
3017 ziar Rotheli-Simmen B, Martinelli E, Muhlebach S.
Formulation of a stable calcium gluconate gel for topical treatment of hydrofluoric acid burns.
Eur Hosp Pharm 1996 ; 2: 176-180.

  Mentions Légales