Viimeisin päivitys :
18/03/2026
Infostab
Luettelo yhdisteistä
Yhteenveto-luettelot
Etsi yhteensopivuutta
Y-sivuston yhteensopivuustaulukko
Viitteet
tutkimus Joukkueet
valistab
ilmoitus
Liitännät
sponsorit
Tekijät
Käyttöohje
Uutiskirje
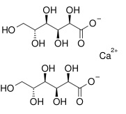
Calcium gluconate
Kemiallinen rakenne
Viitteet : Calcium gluconate
tyyppi
julkaisu
3017
Lehti
Rotheli-Simmen B, Martinelli E, Muhlebach S.
Formulation of a stable calcium gluconate gel for topical treatment of hydrofluoric acid burns.
Eur Hosp Pharm 1996 ; 2: 176-180.
Mentions Légales