Последнее обновление :
18/03/2026
Infostab
Списки
Списки
Поиск совместимостей
Таблица совместимостей в Y-соединении систем
Библиография
Исследовательские группы
valistab
плакат
связи
спонсоры
Автор
Инструкция по эксплуатации
Информационый бюллетень
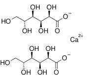
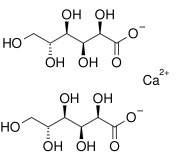
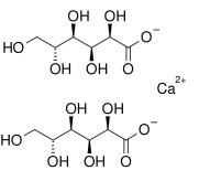
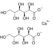
Calcium gluconate
Химическая структура
Библиография : Calcium gluconate
тип
публикация
3017
Журнал
Rotheli-Simmen B, Martinelli E, Muhlebach S.
Formulation of a stable calcium gluconate gel for topical treatment of hydrofluoric acid burns.
Eur Hosp Pharm 1996 ; 2: 176-180.
Mentions Légales