Pēdējā atjaunošana :
27/11/2025
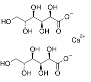
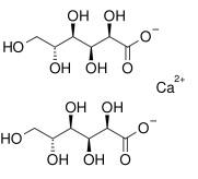
elektrolīts   Calcium gluconate  
Ziedes
Injekcija
Stabilitāte farmaceitisko preparātu Maisījuma stabilitāte Stabilitāti ietekmējoši faktori Saderība Literatūras saraksts pdf
   Ķīmiskā uzbūve   

Ziedes
Literatūras saraksts   Ziedes   Literatūras saraksts : Calcium gluconate  
tips publicēšana
3017 Žurnāls Rotheli-Simmen B, Martinelli E, Muhlebach S.
Formulation of a stable calcium gluconate gel for topical treatment of hydrofluoric acid burns.
Eur Hosp Pharm 1996 ; 2: 176-180.

  Mentions Légales