Poslední aktualizace :
18/03/2026
Infostab
Seznamy
Seznamy shrnutí
Hledat kompatibility
Tabulka kompatibility správy Y
Odkazy
výzkumné týmy
valistab
plakát
Připojení
sponzoři
Autor
Uživatelská příručka
Newsletter
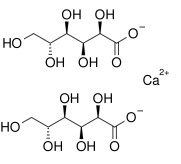
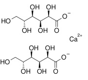
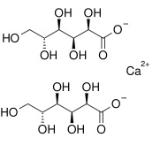
Calcium gluconate
Chemický vzorec
Odkazy : Calcium gluconate
typ
uveřejnění
3017
noviny
Rotheli-Simmen B, Martinelli E, Muhlebach S.
Formulation of a stable calcium gluconate gel for topical treatment of hydrofluoric acid burns.
Eur Hosp Pharm 1996 ; 2: 176-180.
Mentions Légales