Son güncelleme :
18/03/2026
Infostab
Listeler
Listeler
Uyumluluk arayın
Y site uyumluluk tablosu
Kaynaklar
Araştırma Takımlar
valistab
afiş
Bağlantıları
sponsorlar
Yazar
Kullanıcı rehberi
Bültenini
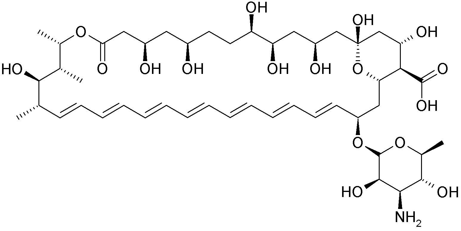
Amphotericin B
Kimyasal yapı
Farmasötik preparatlar Kararlılığı : Amphotericin B
50 mg
Fungizone®
Sodyum bikarbonat
4,2% 0,1 mL
% 5 glukoz
>> 10 mL
-20°C
60
3848
15 mg
Fungizone®
% 5 glukoz
>> 3 ml
2-6°C
120
2867
15 mg
Fungizone®
% 5 glukoz
>> 3 ml
20-25°C
16
2867
15 mg
Fungizone®
% 5 glukoz
>> 3 ml
20-25°C
13
2867
10 mg
Fungizone®
% 5 glukoz
4 mL
23-27°C
28
4487
10 mg
Fungizone®
% 5 glukoz
4 mL
3-7°C
168
4487
Mentions Légales