Última actualización :
27/11/2025
Antifúngico   Amphotericin B  
Gotas oculares
Aerosol Enjuagues bucales Inyectables Solución Oral
La estabilidad de las preparaciones farmacéuticas Estabilidad en mezcla Factores que influyen sobre la estabilidad Compatibilidades Bibliografía pdf
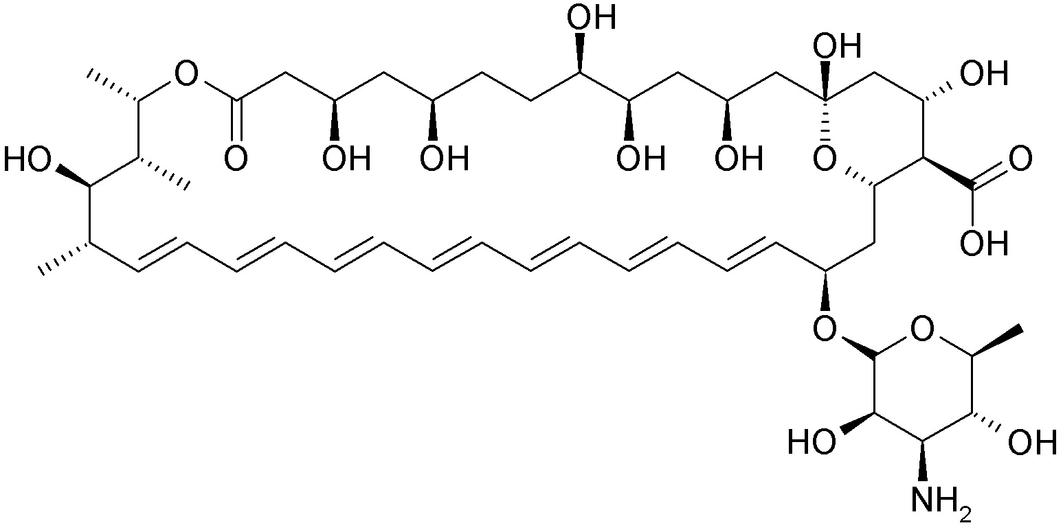
   Estructura química  

Gotas oculares
La estabilidad de las preparaciones farmacéuticas   Gotas oculares   La estabilidad de las preparaciones farmacéuticas : Amphotericin B     
Envase Origine Excipiente Temperatura Conservación Duración de la estabilidad Bibliografía
Vidrio Frasco para medicamentos inyectables 50 mg
Fungizone®
Bicarbonato de sodio 4,2% 0,1 mL
Glucosa al 5% >> 10 mL
-20°C A cubierto de la luz
60 Día
3848
Botella de plástico Frasco para medicamentos inyectables 15 mg
Fungizone®
Glucosa al 5% >> 3 ml
2-6°C A cubierto de la luz
120 Día
2867

Botella de plástico Frasco para medicamentos inyectables 15 mg
Fungizone®
Glucosa al 5% >> 3 ml
20-25°C A cubierto de la luz
16 Día
2867

Botella de plástico Frasco para medicamentos inyectables 15 mg
Fungizone®
Glucosa al 5% >> 3 ml
20-25°C Luz
13 Día
2867

Botella de plástico Frasco para medicamentos inyectables 10 mg
Fungizone®
Glucosa al 5% 4 mL
23-27°C No precisada
28 Día
4487

Botella de plástico Frasco para medicamentos inyectables 10 mg
Fungizone®
Glucosa al 5% 4 mL
3-7°C No precisada
168 Día
4487


  Mentions Légales