Τελευταία ενημέρωση :
18/03/2026
Αντιμυκητικό   Amphotericin B  
Οφθαλμικές σταγόνες
Αεροζόλ Ενέσιμο Πόσιμο διάλυμα Στοματικό διάλυμα
Σταθερότητα και συμβατότητα των φαρμάκων Σταθερότητα σε μίγματα Παράγοντας που επηρεάζει τη σταθερότητα Συμβατότητες Βιβλιογραφία pdf
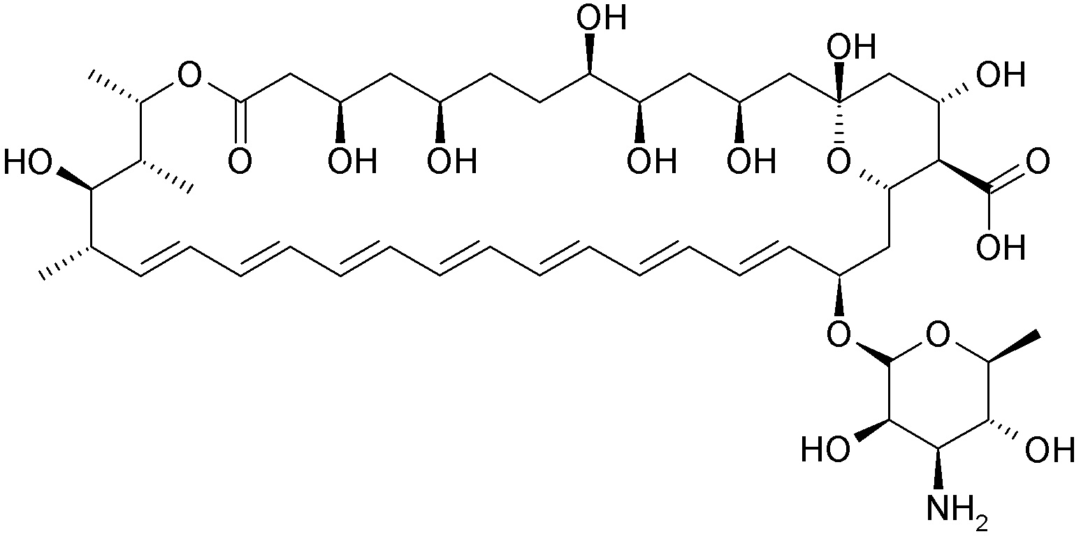
   χημική δομή  

Οφθαλμικές σταγόνες
Σταθερότητα και συμβατότητα των φαρμάκων   Οφθαλμικές σταγόνες   Σταθερότητα και συμβατότητα των φαρμάκων : Amphotericin B     
Υποδοχέας Origine Έκδοχο Θερμοκρασία Αποθήκευση Διάρκεια σταθερότητας Βιβλιογραφία
Ύαλος Φιαλίδιο φαρμάκου για ένεση 50 mg
Fungizone®
Διττανθρακικό νάτριο 4,2% 0,1 mL
Γλυκόζη 5% >> 10 mL
-20°C Προστατεύετε από το φως
60 Ημέρα
3848
Πλαστικό μπουκάλι Φιαλίδιο φαρμάκου για ένεση 15 mg
Fungizone®
Γλυκόζη 5% >> 3 ml
2-6°C Προστατεύετε από το φως
120 Ημέρα
2867

Πλαστικό μπουκάλι Φιαλίδιο φαρμάκου για ένεση 15 mg
Fungizone®
Γλυκόζη 5% >> 3 ml
20-25°C Προστατεύετε από το φως
16 Ημέρα
2867

Πλαστικό μπουκάλι Φιαλίδιο φαρμάκου για ένεση 15 mg
Fungizone®
Γλυκόζη 5% >> 3 ml
20-25°C Φως
13 Ημέρα
2867

Πλαστικό μπουκάλι Φιαλίδιο φαρμάκου για ένεση 10 mg
Fungizone®
Γλυκόζη 5% 4 mL
23-27°C Απροσδιόριστο
28 Ημέρα
4487

Πλαστικό μπουκάλι Φιαλίδιο φαρμάκου για ένεση 10 mg
Fungizone®
Γλυκόζη 5% 4 mL
3-7°C Απροσδιόριστο
168 Ημέρα
4487


  Mentions Légales