Pēdējā atjaunošana :
18/03/2026
Pretsēnīšu līdzeklis   Amphotericin B  
Acu pilieni
Aerosols Injekcija Mutes skalojamais līdzeklis Orāls šķīdums
Stabilitāte farmaceitisko preparātu Maisījuma stabilitāte Stabilitāti ietekmējoši faktori Saderība Literatūras saraksts pdf
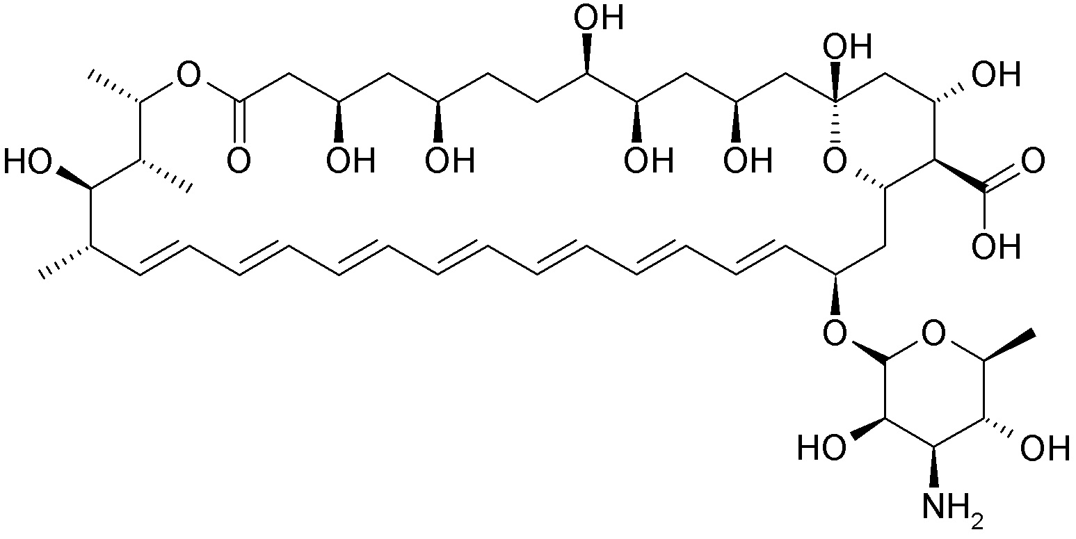
   Ķīmiskā uzbūve   

Acu pilieni
Stabilitāte farmaceitisko preparātu   Acu pilieni   Stabilitāte farmaceitisko preparātu : Amphotericin B     
Iepakojums Origine Palīgviela Temperatūra Glabāšana Stabilitātes ilgums Literatūras saraksts
Stikls Medicīniskā pudele injekcijām 50 mg
Fungizone®
Nātrija bikarbonāts 4,2% 0,1 mL
5% Dekstroze >> 10 mL
-20°C Aizsargāt no gaismas
60 Diena
3848
Plastmasas pudele Medicīniskā pudele injekcijām 15 mg
Fungizone®
5% Dekstroze >> 3 ml
2-6°C Aizsargāt no gaismas
120 Diena
2867

Plastmasas pudele Medicīniskā pudele injekcijām 15 mg
Fungizone®
5% Dekstroze >> 3 ml
20-25°C Aizsargāt no gaismas
16 Diena
2867

Plastmasas pudele Medicīniskā pudele injekcijām 15 mg
Fungizone®
5% Dekstroze >> 3 ml
20-25°C Gaisma
13 Diena
2867

Plastmasas pudele Medicīniskā pudele injekcijām 10 mg
Fungizone®
5% Dekstroze 4 mL
23-27°C Nav specifisks
28 Diena
4487

Plastmasas pudele Medicīniskā pudele injekcijām 10 mg
Fungizone®
5% Dekstroze 4 mL
3-7°C Nav specifisks
168 Diena
4487


  Mentions Légales