Seneste opdatering :
18/03/2026
Antisvampe   Amphotericin B  
Øjendråber
Aerosol Injektion Mundskyllevæske Oral opløsning
Stabilitet af farmaceutiske tilberedninger Stabilitet i blandinger Faktorer der påvirker stabiliteten Kompatibilitet Bibliografi pdf
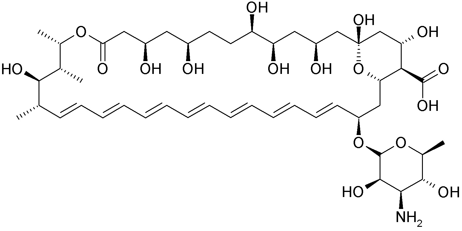
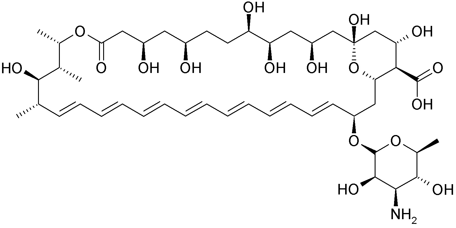
   Kemisk struktur  

Øjendråber
Stabilitet af farmaceutiske tilberedninger   Øjendråber   Stabilitet af farmaceutiske tilberedninger : Amphotericin B     
Beholder Origine Hjælpestof Temperatur Konservering Varighed af stabilitet Bibliografi
Glas Medicinflaske til injektion 50 mg
Fungizone®
Natriumbicarbonat 4,2% 0,1 mL
Glucose 5% >> 10 mL
-20°C Beskyt mod lys
60 Dag
3848
Plastflaske Medicinflaske til injektion 15 mg
Fungizone®
Glucose 5% >> 3 ml
2-6°C Beskyt mod lys
120 Dag
2867

Plastflaske Medicinflaske til injektion 15 mg
Fungizone®
Glucose 5% >> 3 ml
20-25°C Beskyt mod lys
16 Dag
2867

Plastflaske Medicinflaske til injektion 15 mg
Fungizone®
Glucose 5% >> 3 ml
20-25°C Lys
13 Dag
2867

Plastflaske Medicinflaske til injektion 10 mg
Fungizone®
Glucose 5% 4 mL
23-27°C Ikke nærmere angivet
28 Dag
4487

Plastflaske Medicinflaske til injektion 10 mg
Fungizone®
Glucose 5% 4 mL
3-7°C Ikke nærmere angivet
168 Dag
4487


  Mentions Légales