Utolsó frissítés :
05/12/2025
Gombaellenes szer   Amphotericin B  
Szemcsepp
aeroszol belsőleges oldat Injekció Szájvíz
Stabilitása gyógyszerészeti készítmények A keverékek stabilitása Stabilitást befolyásoló tényezők Kompatibilitás Irodalom pdf
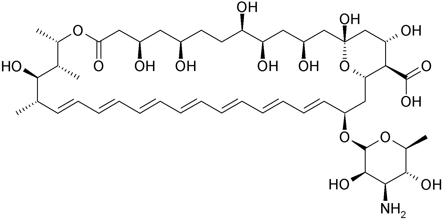
   Kémiai szerkezet   

Szemcsepp
Stabilitása gyógyszerészeti készítmények   Szemcsepp   Stabilitása gyógyszerészeti készítmények : Amphotericin B     
Csomagolás Origine segédanyag Hőmérséklet Tárolás A stabilitás időtartama Irodalom
Üveg Injekcióhoz való űveg 50 mg
Fungizone®
nátrium-hidrogén-karbonát 4,2% 0,1 mL
5% glukóz >> 10 mL
-20°C Fénytől védve tartandó
60 Nap
3848
műanyag flakon Injekcióhoz való űveg 15 mg
Fungizone®
5% glukóz >> 3 ml
2-6°C Fénytől védve tartandó
120 Nap
2867

műanyag flakon Injekcióhoz való űveg 15 mg
Fungizone®
5% glukóz >> 3 ml
20-25°C Fénytől védve tartandó
16 Nap
2867

műanyag flakon Injekcióhoz való űveg 15 mg
Fungizone®
5% glukóz >> 3 ml
20-25°C Fény
13 Nap
2867

műanyag flakon Injekcióhoz való űveg 10 mg
Fungizone®
5% glukóz 4 mL
23-27°C Nincs meghatározva
28 Nap
4487

műanyag flakon Injekcióhoz való űveg 10 mg
Fungizone®
5% glukóz 4 mL
3-7°C Nincs meghatározva
168 Nap
4487


  Mentions Légales