Последнее обновление :
05/12/2025
Противогрибковое средство   Amphotericin B  
Глазные капли
Аэрозоль Инъекция Ополаскиватель для полости рта Раствор для перорального приёма
Стабильность фармацевтических препаратов Стабильность смесей Факторы, которые влияют на стабильность Совместимость Библиография pdf
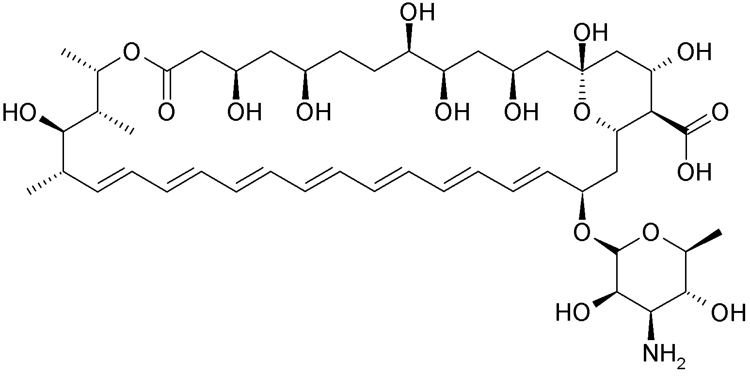
   Химическая структура  

Глазные капли
Стабильность фармацевтических препаратов   Глазные капли   Стабильность фармацевтических препаратов : Amphotericin B     
Упаковка Origine Наполнитель Температура Хранение Продолжительность стабильности Ссылки
Стекло Медицинская бутылка для инъекций 50 mg
Fungizone®
Бикарбонат натрия 4,2% 0,1 mL
Декстроза 5% >> 10 mL
-20°C Защищён от света
60 День
3848
Пластиковая бутылка Медицинская бутылка для инъекций 15 mg
Fungizone®
Декстроза 5% >> 3 ml
2-6°C Защищён от света
120 День
2867

Пластиковая бутылка Медицинская бутылка для инъекций 15 mg
Fungizone®
Декстроза 5% >> 3 ml
20-25°C Защищён от света
16 День
2867

Пластиковая бутылка Медицинская бутылка для инъекций 15 mg
Fungizone®
Декстроза 5% >> 3 ml
20-25°C Свет
13 День
2867

Пластиковая бутылка Медицинская бутылка для инъекций 10 mg
Fungizone®
Декстроза 5% 4 mL
23-27°C Не указано
28 День
4487

Пластиковая бутылка Медицинская бутылка для инъекций 10 mg
Fungizone®
Декстроза 5% 4 mL
3-7°C Не указано
168 День
4487


  Mentions Légales