Last update :
18/03/2026
Infostab
List of drugs
Summary lists
Search for compatibilities
Y-site compatibility table
References
Research teams
valistab
Poster
Links
Sponsors
Authors
User’s guide
Newsletter
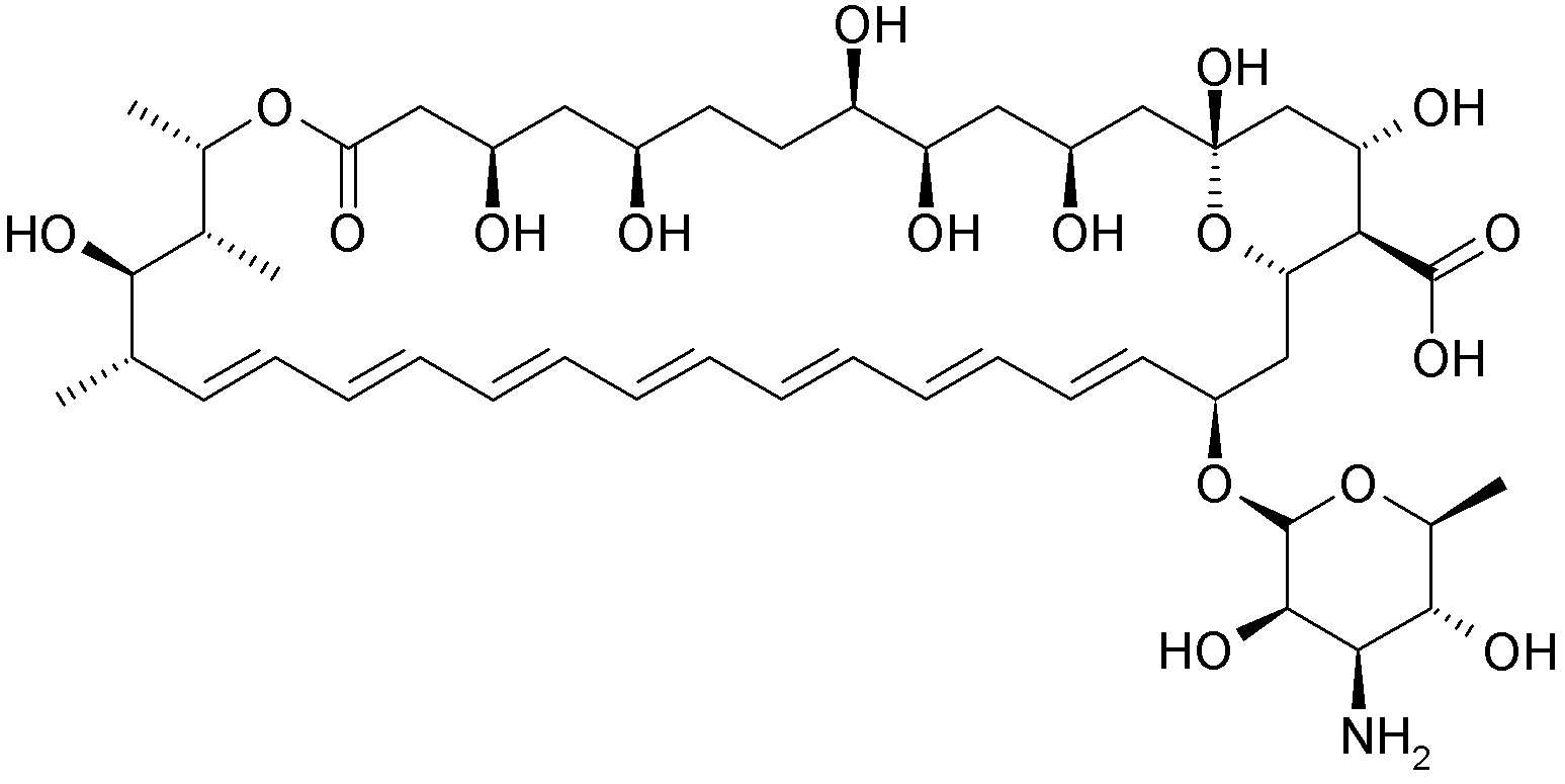
Amphotericin B
Chemical structure
Stability of pharmaceutical preparations : Amphotericin B
50 mg
Fungizone®
Sodium bicarbonate
4,2% 0,1 mL
Dextrose 5%
>> 10 mL
-20°C
60
3848
15 mg
Fungizone®
Dextrose 5%
>> 3 ml
2-6°C
120
2867
15 mg
Fungizone®
Dextrose 5%
>> 3 ml
20-25°C
16
2867
15 mg
Fungizone®
Dextrose 5%
>> 3 ml
20-25°C
13
2867
10 mg
Fungizone®
Dextrose 5%
4 mL
23-27°C
28
4487
10 mg
Fungizone®
Dextrose 5%
4 mL
3-7°C
168
4487
Mentions Légales