Son güncelleme :
27/11/2025
kanser ilaç   Etoposide  
Oral solüsyon / oral çözelti
Enjeksiyon
Farmasötik preparatlar Kararlılığı Karışımlardaki stabilitesi Stabiliteyi etkileyen faktörler Uyumluluk Kaynaklar pdf
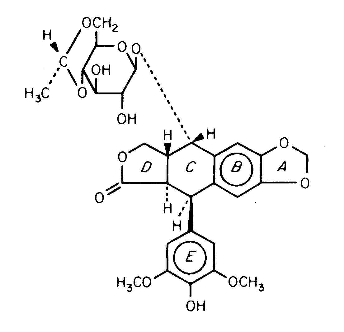
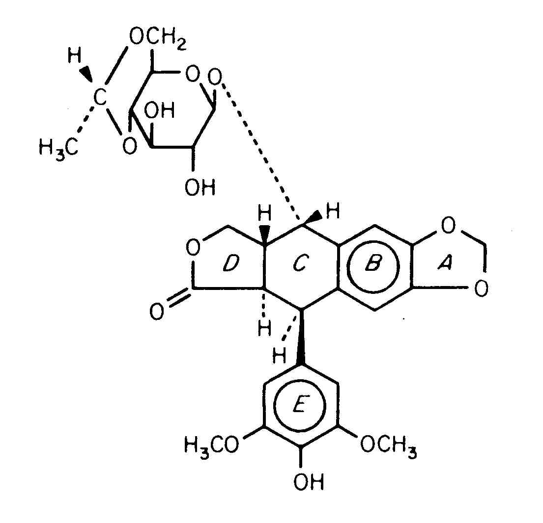
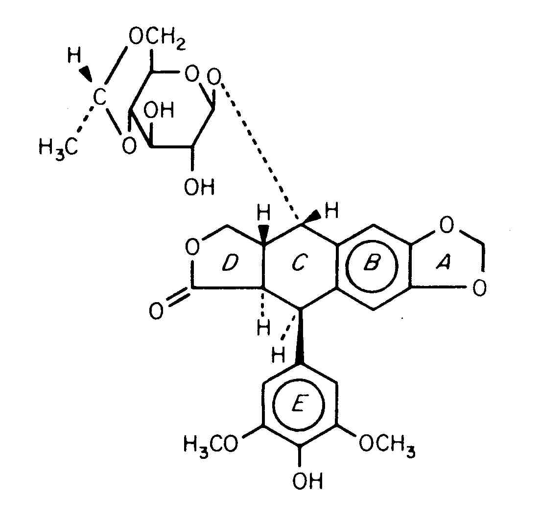
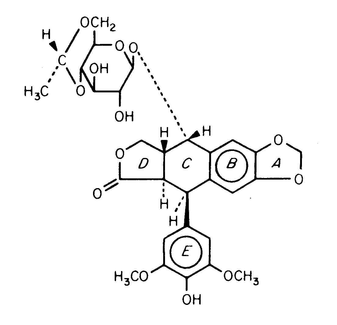
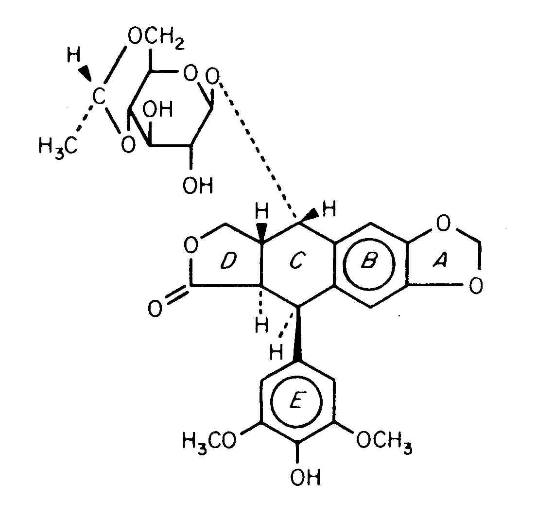
   Kimyasal yapı   

Oral solüsyon / oral çözelti
Farmasötik preparatlar Kararlılığı   Oral solüsyon / oral çözelti   Farmasötik preparatlar Kararlılığı : Etoposide     
Saklama kabı Origine yardımcı madde Isı Saklama    Stabilite süresi Kaynaklar
Şırınga Enjeksiyon için ilaç şişesi 20 mg
Vepeside®
% 0.9 NaCl >>2 ml
2-8°C Işıktan koruyunuz
31 Gün
1992

Şırınga Enjeksiyon için ilaç şişesi 20 mg
Vepeside®
% 0.9 NaCl >>2 ml
20-25°C Işıklı veya ışıksız
31 Gün
1992

Şırınga Enjeksiyon için ilaç şişesi 50 mg
VePesid®
% 0.9 NaCl >> 5 ml
22°C Işıklı veya ışıksız
22 Gün
2482


  Mentions Légales