最新更新 :
12/12/2025
細胞増殖抑制薬   Etoposide  
経口液
注射薬
調剤時の安定性 混合時の安定性 安定性に影響する因子 互換性 引用文献 PDF
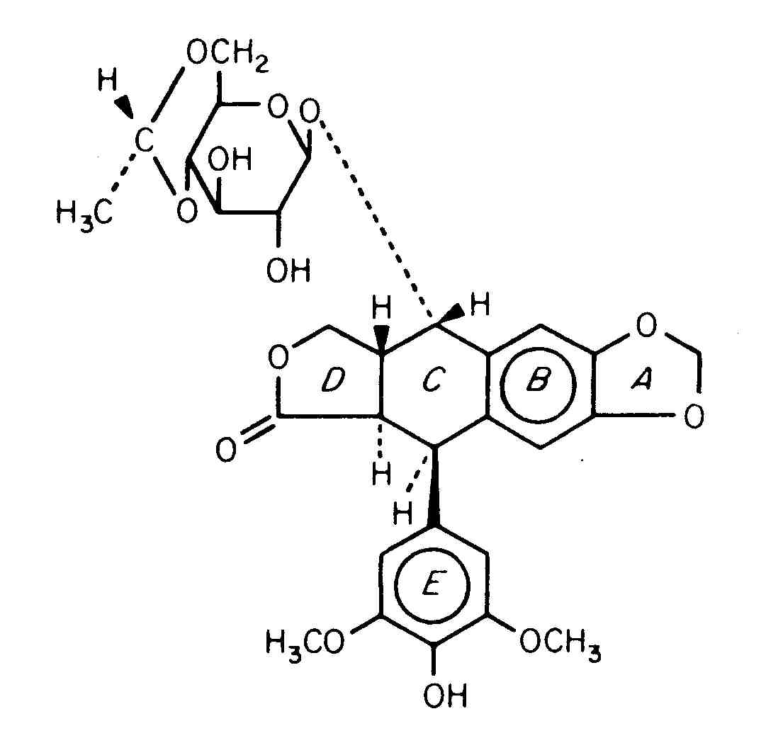
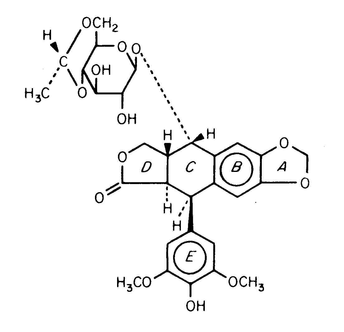
   化学構造  

経口液
調剤時の安定性   経口液   調剤時の安定性 : Etoposide     
容器 Origine 添加剤 温度 保管 安定期間 引用文献
シリンジ 注射用瓶 20 mg
Vepeside®
NaCl 0.9% >>2 ml
2-8°C 遮光
31 日
1992

シリンジ 注射用瓶 20 mg
Vepeside®
NaCl 0.9% >>2 ml
20-25°C 光/遮光
31 日
1992

シリンジ 注射用瓶 50 mg
VePesid®
NaCl 0.9% >> 5 ml
22°C 光/遮光
22 日
2482


  Mentions Légales