Senaste uppdateringen :
27/11/2025
cancerläkemedel   Etoposide  
Oral lösning
injektion
Stabilitet av läkemedel Stabilitet i blandningar Faktorer som påverkar stabiliteten Kompatibilitet Hänvisningar pdf
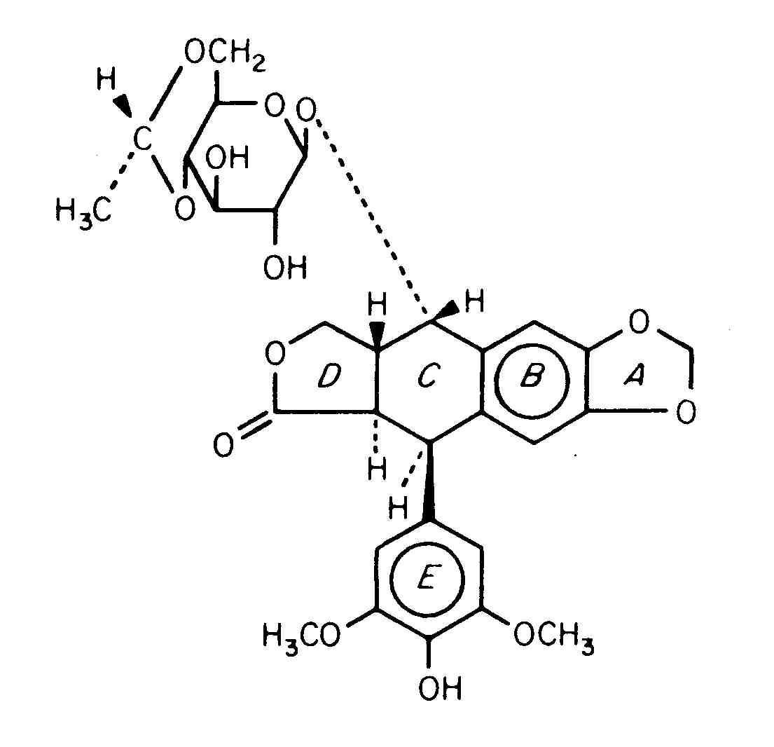
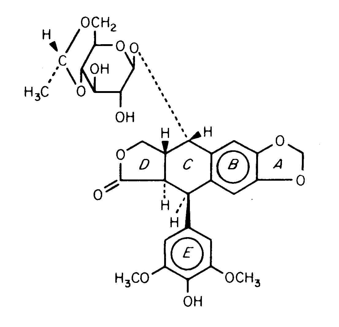
   Molekylstruktur  

Oral lösning
Stabilitet av läkemedel   Oral lösning   Stabilitet av läkemedel : Etoposide     
Behållare Origine Hjälpämne Temperatur Förvaring Stabilitets varaktighet Hänvisningar
Spruta injektionsflaska 20 mg
Vepeside®
Isoton koksaltlösning >>2 ml
2-8°C Skyddas från ljus
31 Dag
1992

Spruta injektionsflaska 20 mg
Vepeside®
Isoton koksaltlösning >>2 ml
20-25°C Med eller utan ljus
31 Dag
1992

Spruta injektionsflaska 50 mg
VePesid®
Isoton koksaltlösning >> 5 ml
22°C Med eller utan ljus
22 Dag
2482


  Mentions Légales