Ultimele actualizari :
05/12/2025
Citostatic   Etoposide  
Soluţie orală
Injectabil
Stabilitatea preparatelor farmaceutice Stabilitatea in amestec Factorii care influenteaza stabilitatea Compatibilitate Bibliografie pdf
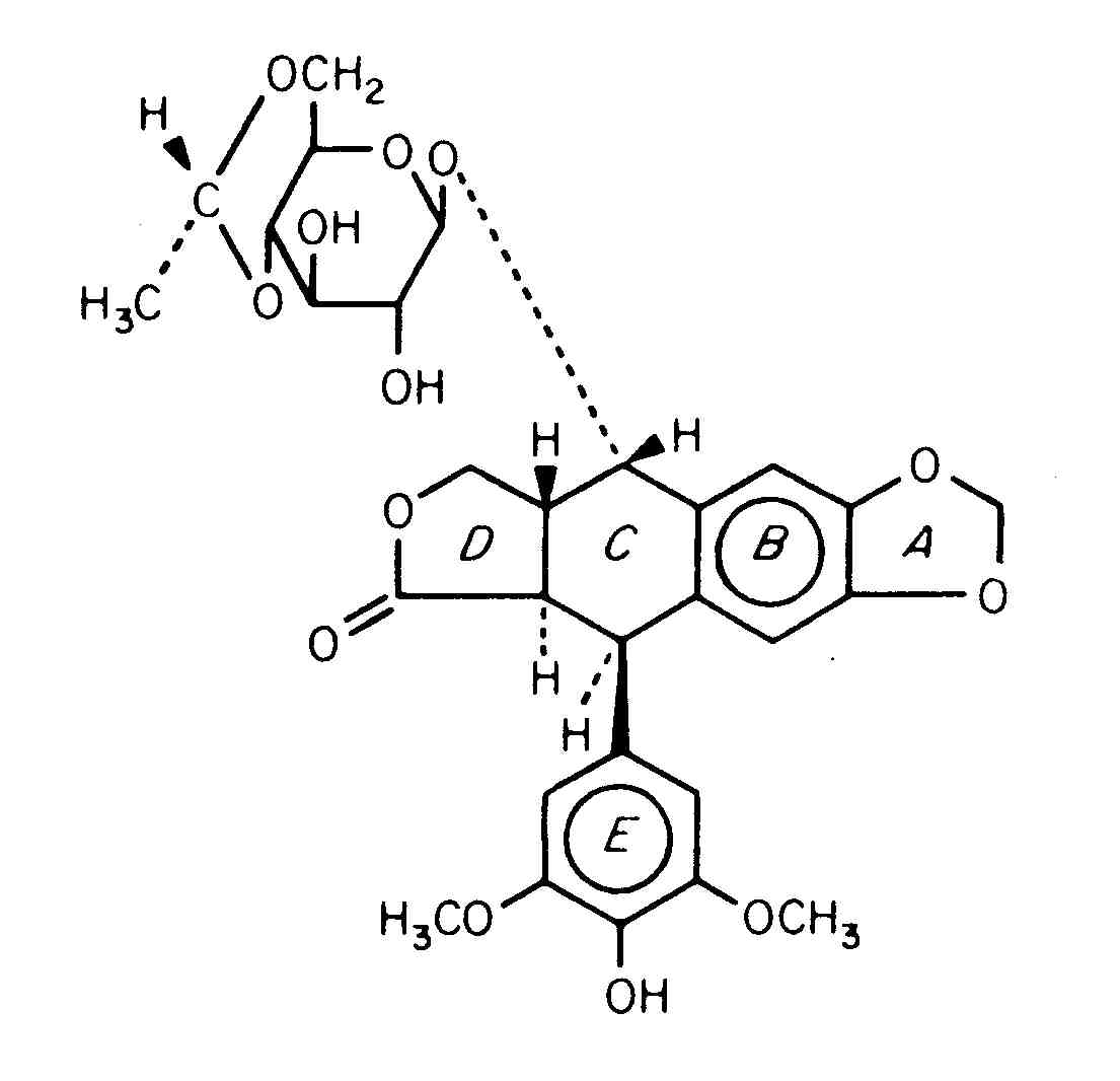
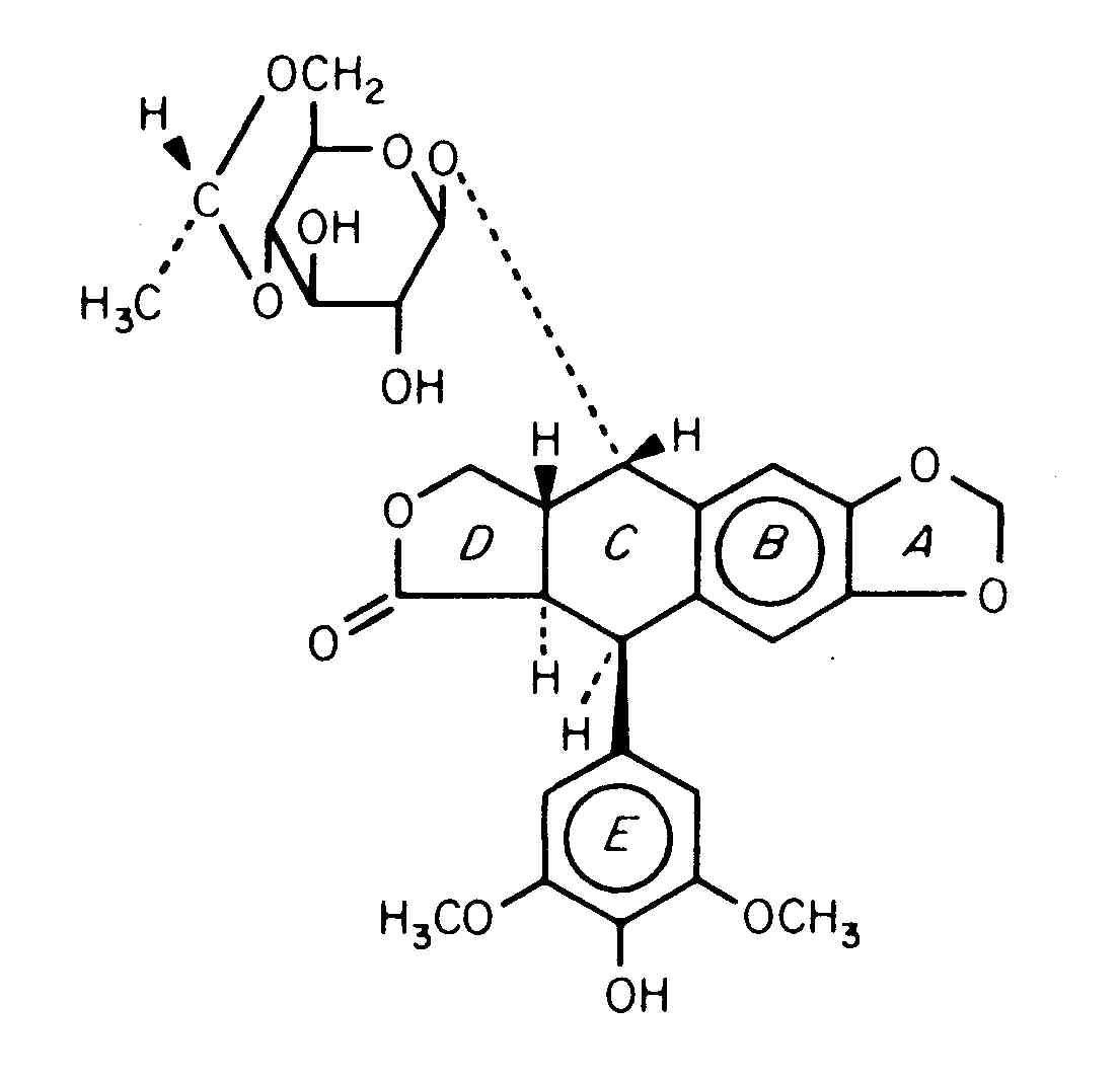
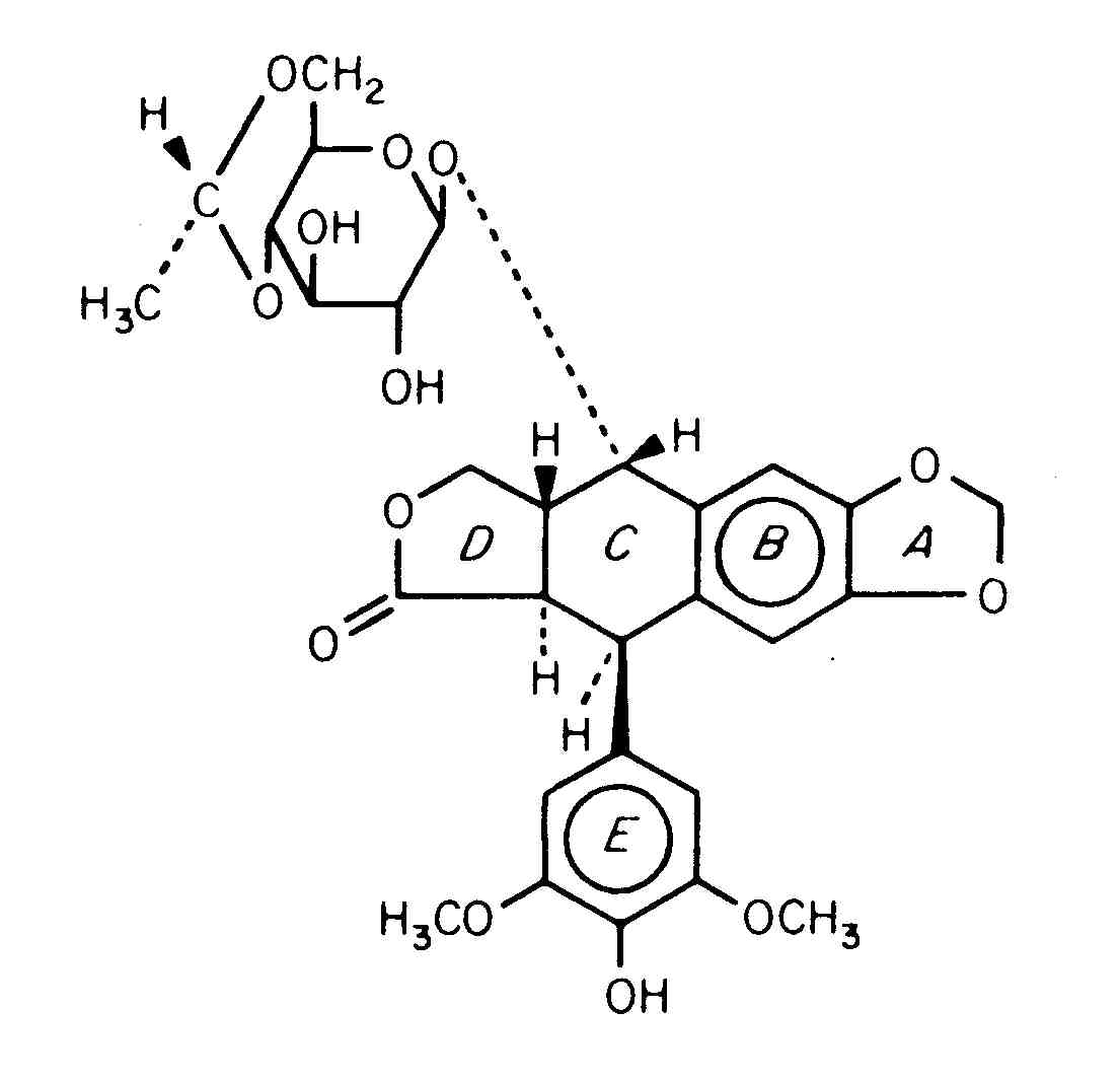
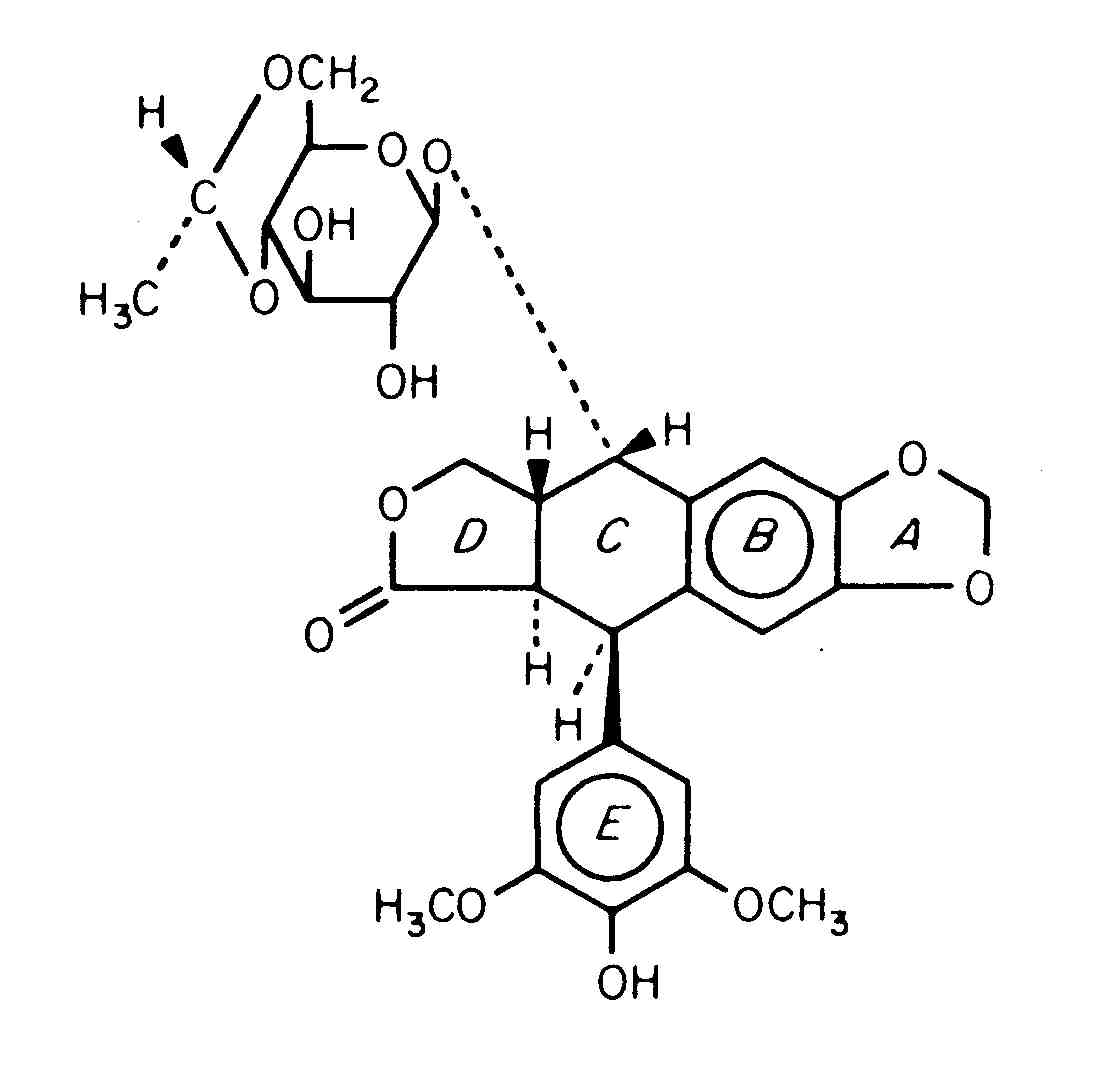
   Formula chimica  

Soluţie orală
Stabilitatea preparatelor farmaceutice   Soluţie orală   Stabilitatea preparatelor farmaceutice : Etoposide     
Continut Origine Excipient Temperatura Conservare Durata stabilității Bibiografie
seringă Flacon Flacon pentru medicament injectabil pentru injecţie 20 mg
Vepeside®
NaCl 0.9% >>2 ml
2-8°C Ferit de lumina
31 Ziua
1992

seringă Flacon Flacon pentru medicament injectabil pentru injecţie 20 mg
Vepeside®
NaCl 0.9% >>2 ml
20-25°C In prezenta sau absenta luminii
31 Ziua
1992

seringă Flacon Flacon pentru medicament injectabil pentru injecţie 50 mg
VePesid®
NaCl 0.9% >> 5 ml
22°C In prezenta sau absenta luminii
22 Ziua
2482


  Mentions Légales