Siste oppdatering :
12/12/2025
kreft narkotika   Etoposide  
Mikstur
Injeksjon
Stabilitet av farmasøytiske preparater Stabilitet i blandinger Faktorer som påvirker stabiliteten Kompatibilitet Referanser pdf
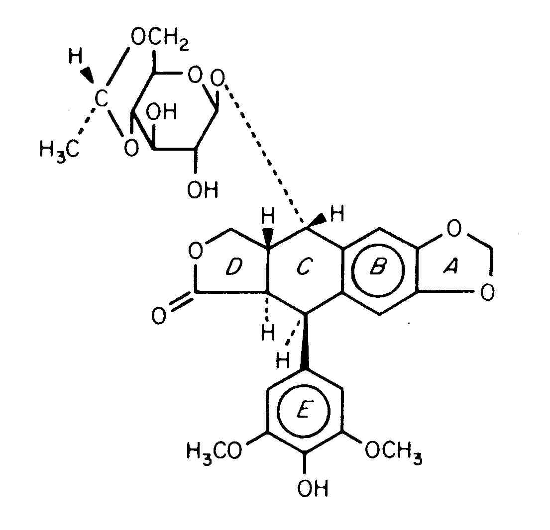
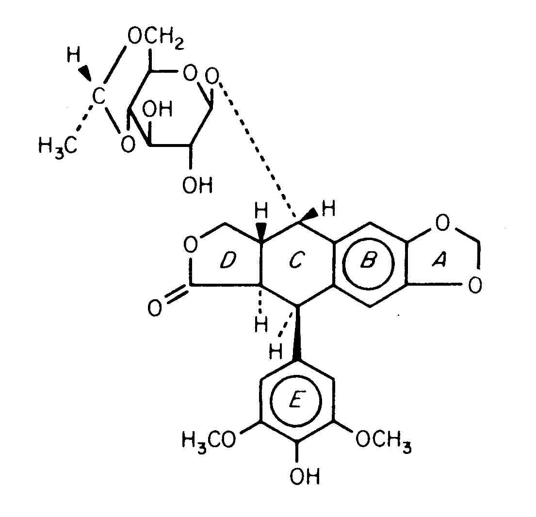
   Kjemisk struktur  

Mikstur
Stabilitet av farmasøytiske preparater   Mikstur   Stabilitet av farmasøytiske preparater : Etoposide     
Beholder Origine Hjelpestoff Temperatur Oppbevaring Varighet av stabilitet Referanser
Sprøyte Hetteglass 20 mg
Vepeside®
NaCl 0.9% >>2 ml
2-8°C Beskyttes mot lys
31 Dag
1992

Sprøyte Hetteglass 20 mg
Vepeside®
NaCl 0.9% >>2 ml
20-25°C Med eller uten lys
31 Dag
1992

Sprøyte Hetteglass 50 mg
VePesid®
NaCl 0.9% >> 5 ml
22°C Med eller uten lys
22 Dag
2482


  Mentions Légales