Pēdējā atjaunošana :
27/11/2025
vēzis narkotiku   Etoposide  
Orāls šķīdums
Injekcija
Stabilitāte farmaceitisko preparātu Maisījuma stabilitāte Stabilitāti ietekmējoši faktori Saderība Literatūras saraksts pdf
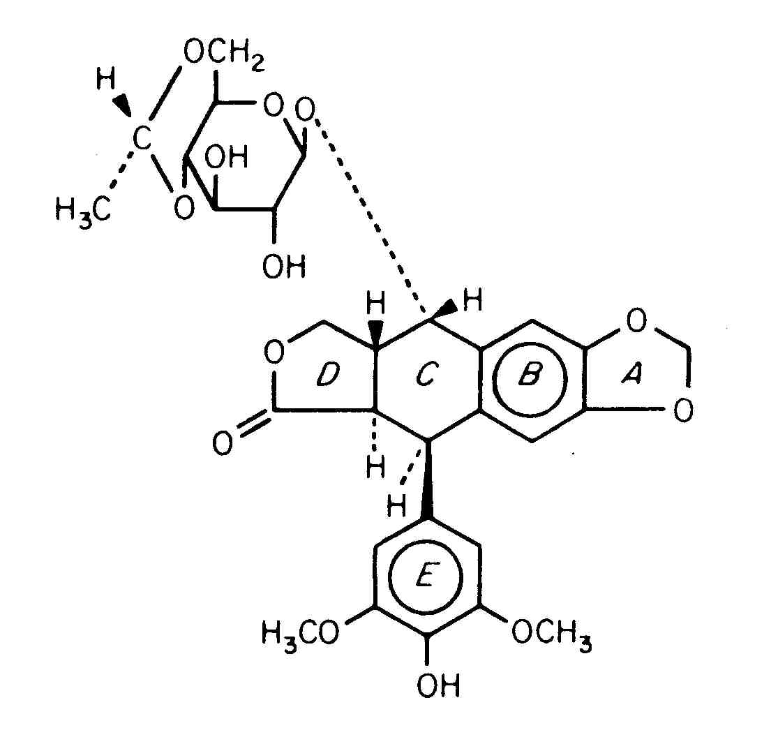
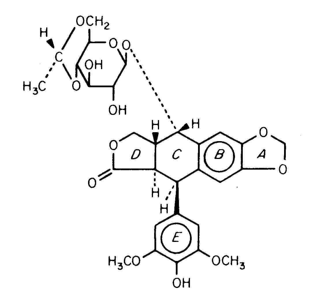
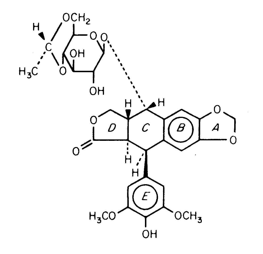
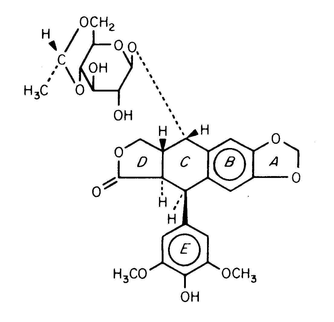
   Ķīmiskā uzbūve   

Orāls šķīdums
Stabilitāte farmaceitisko preparātu   Orāls šķīdums   Stabilitāte farmaceitisko preparātu : Etoposide     
Iepakojums Origine Palīgviela Temperatūra Glabāšana Stabilitātes ilgums Literatūras saraksts
Šļirce Medicīniskā pudele injekcijām 20 mg
Vepeside®
NaCl 0.9% >>2 ml
2-8°C Aizsargāt no gaismas
31 Diena
1992

Šļirce Medicīniskā pudele injekcijām 20 mg
Vepeside®
NaCl 0.9% >>2 ml
20-25°C Ar vai bez gaismas
31 Diena
1992

Šļirce Medicīniskā pudele injekcijām 50 mg
VePesid®
NaCl 0.9% >> 5 ml
22°C Ar vai bez gaismas
22 Diena
2482


  Mentions Légales