Τελευταία ενημέρωση :
27/01/2026
φάρμακο κατά του καρκίνου   Etoposide  
Πόσιμο διάλυμα
Ενέσιμο
Σταθερότητα και συμβατότητα των φαρμάκων Σταθερότητα σε μίγματα Παράγοντας που επηρεάζει τη σταθερότητα Συμβατότητες Βιβλιογραφία pdf
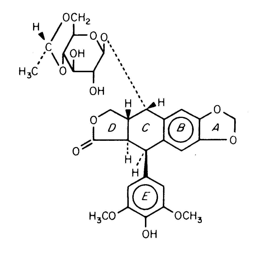
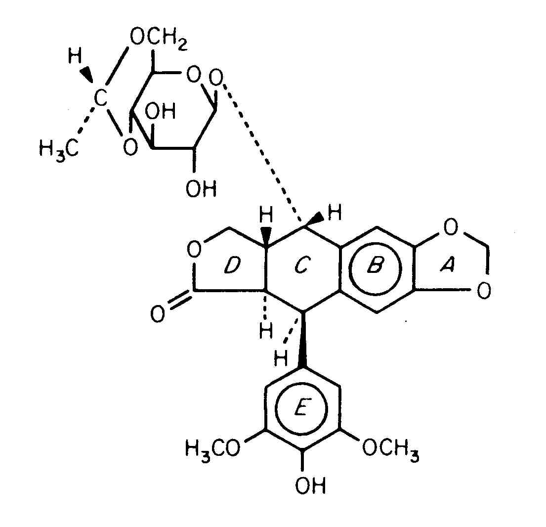
   χημική δομή  

Πόσιμο διάλυμα
Σταθερότητα και συμβατότητα των φαρμάκων   Πόσιμο διάλυμα   Σταθερότητα και συμβατότητα των φαρμάκων : Etoposide     
Υποδοχέας Origine Έκδοχο Θερμοκρασία Αποθήκευση Διάρκεια σταθερότητας Βιβλιογραφία
Σύριγγα Φιαλίδιο φαρμάκου για ένεση 20 mg
Vepeside®
NaCl 0.9% >>2 ml
2-8°C Προστατεύετε από το φως
31 Ημέρα
1992

Σύριγγα Φιαλίδιο φαρμάκου για ένεση 20 mg
Vepeside®
NaCl 0.9% >>2 ml
20-25°C Με ή χωρίς φως
31 Ημέρα
1992

Σύριγγα Φιαλίδιο φαρμάκου για ένεση 50 mg
VePesid®
NaCl 0.9% >> 5 ml
22°C Με ή χωρίς φως
22 Ημέρα
2482


  Mentions Légales