最新更新 :
12/12/2025
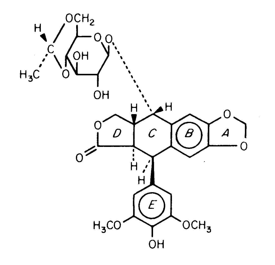
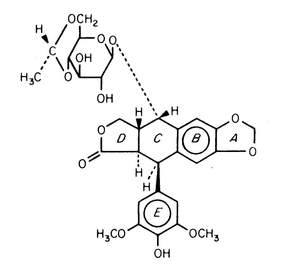
抗癌藥物   Etoposide  
口服剂
注射液
制剂的稳定性 混合物稳定性 影响稳定性的因素 兼容性 引用文献 PDF
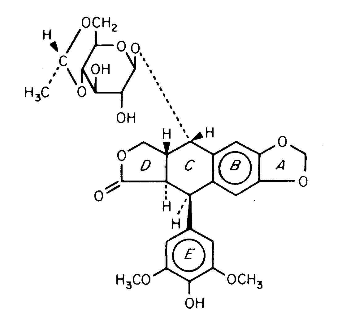
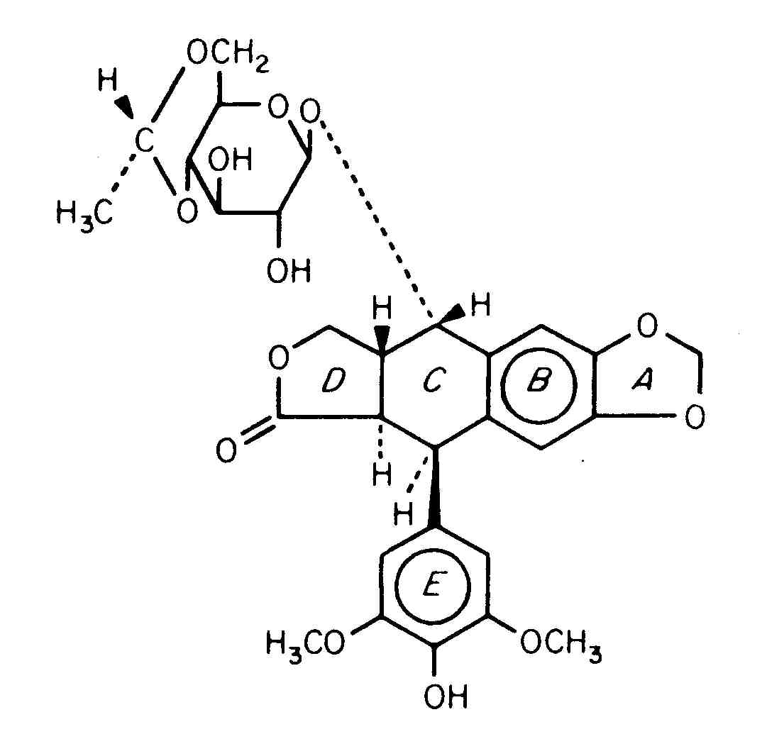
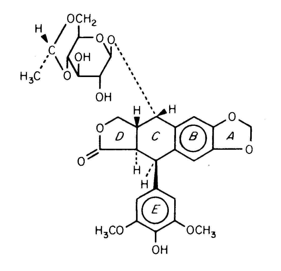
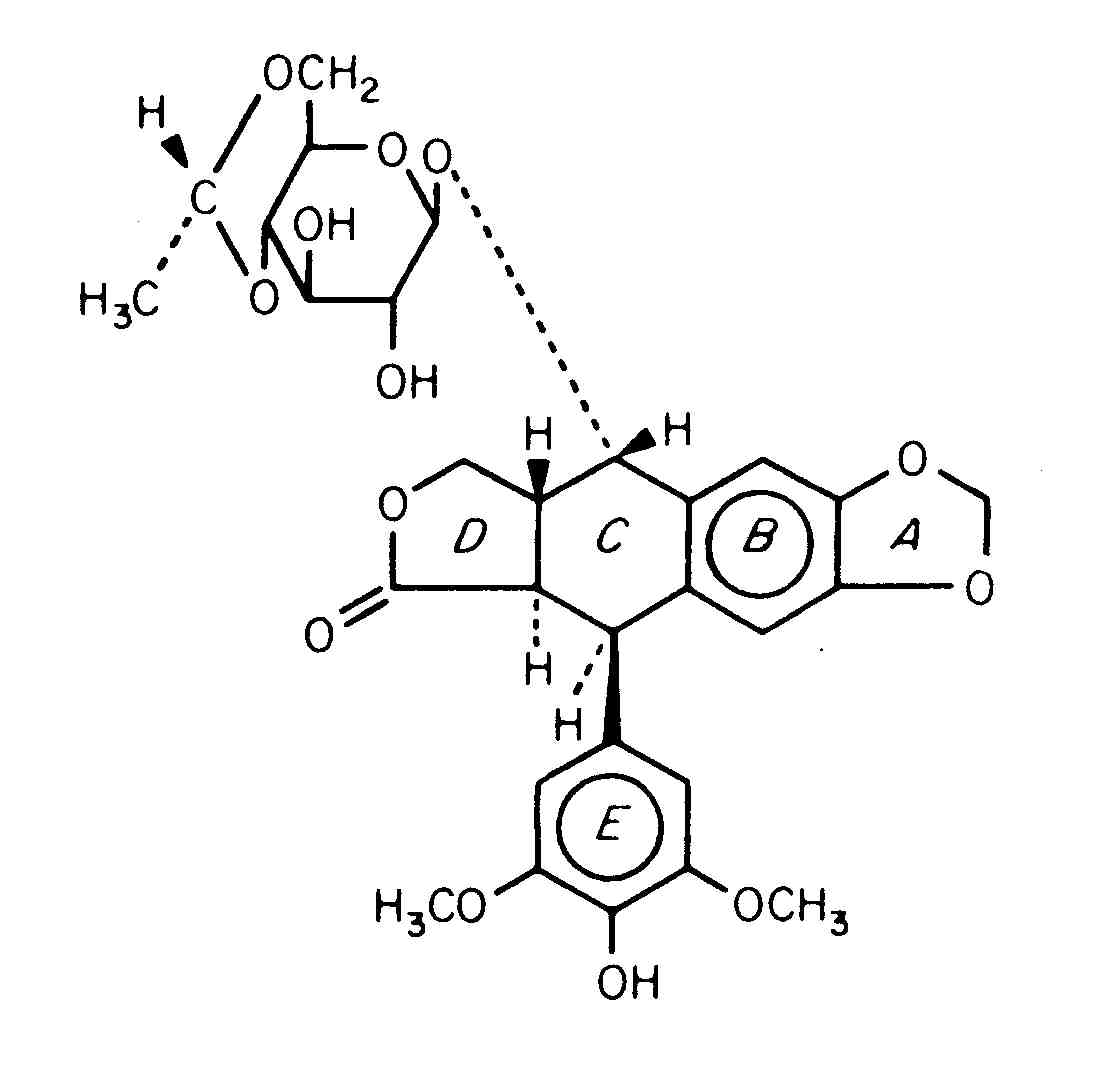
   化学式  

口服剂
制剂的稳定性   口服剂   制剂的稳定性 : Etoposide     
容器 Origine 添加剂 温度 保存 穩定持續時間 引用文献
针管 注射用瓶 20 mg
Vepeside®
NaCl 0.9% >>2 ml
2-8°C 避光
31 白天
1992

针管 注射用瓶 20 mg
Vepeside®
NaCl 0.9% >>2 ml
20-25°C 光/避光
31 白天
1992

针管 注射用瓶 50 mg
VePesid®
NaCl 0.9% >> 5 ml
22°C 光/避光
22 白天
2482


  Mentions Légales