Letztes “update” :
27/11/2025
Antikrebsmittel   Etoposide  
Lösung zum Einnehmen
Injektion
Stabilität von pharmazeutischen Präparaten Gemengestabilität Stabilitätbeeinflussende Faktoren Kompatibilitäten Literaturverzeichnis pdf
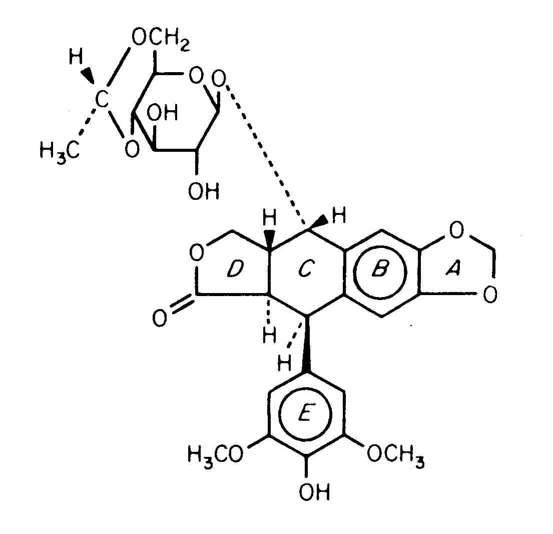
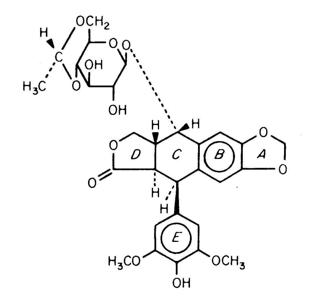
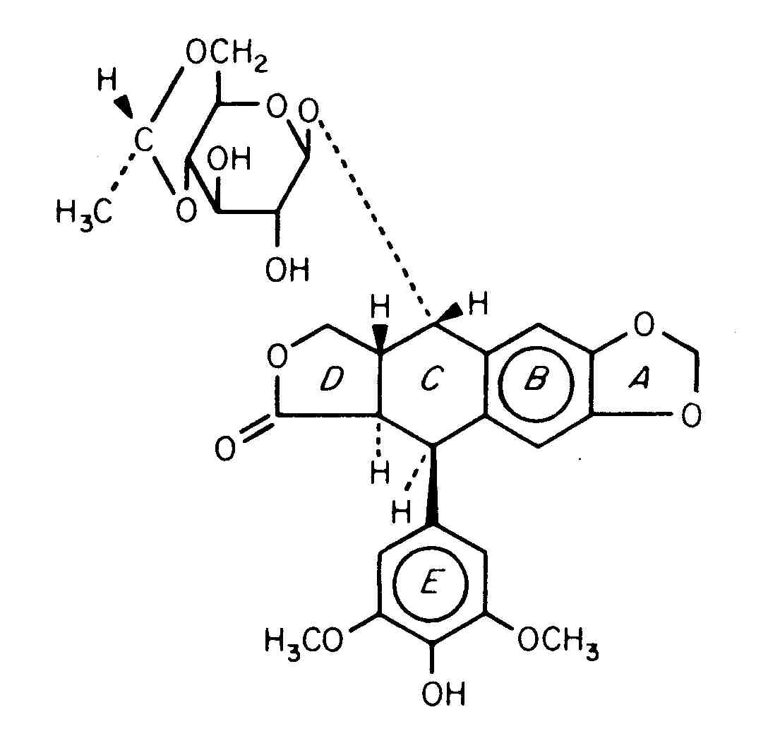
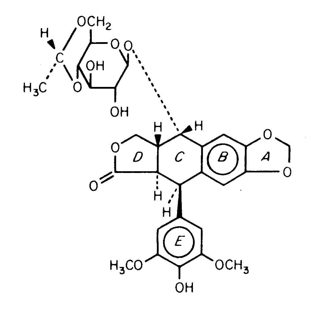
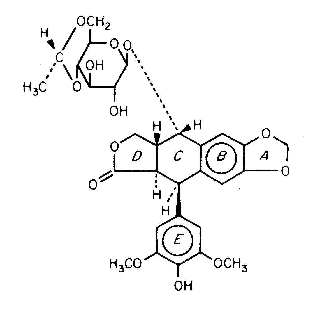
   Chemische Struktur  

Lösung zum Einnehmen
Stabilität von pharmazeutischen Präparaten   Lösung zum Einnehmen   Stabilität von pharmazeutischen Präparaten : Etoposide     
Behälter Origine Hilfsstoff Temperatur Konservierung Dauer der Stabilität Literaturverzeichnis
Spritze Injektionsflasche 20 mg
Vepeside®
NaCl 0.9% >>2 ml
2-8°C Ohne Licht
31 Tag
1992

Spritze Injektionsflasche 20 mg
Vepeside®
NaCl 0.9% >>2 ml
20-25°C Mit oder ohne Licht
31 Tag
1992

Spritze Injektionsflasche 50 mg
VePesid®
NaCl 0.9% >> 5 ml
22°C Mit oder ohne Licht
22 Tag
2482


  Mentions Légales