Останнє оновлення :
27/01/2026
Протипухлинний препарат   Etoposide  
Розчин для перорального застосування
ін'єкція
Стабільність фармацевтичних препаратів Стійкість сумішей Фактори, що впливають на стабільність Сумісність Список літератури pdf
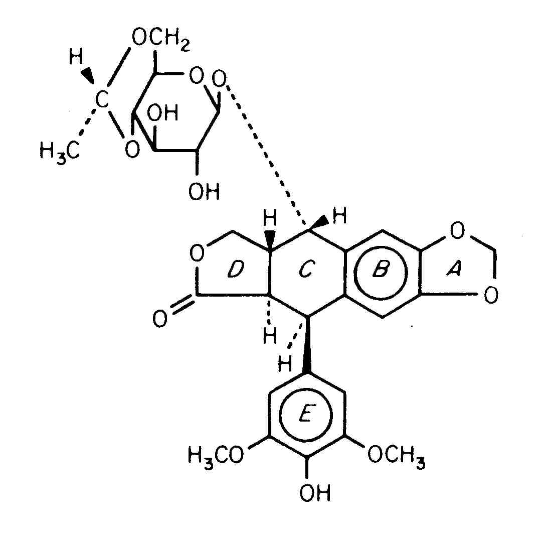
   Хімічна структура  

Розчин для перорального застосування
Стабільність фармацевтичних препаратів   Розчин для перорального застосування   Стабільність фармацевтичних препаратів : Etoposide     
Контейнер Origine допоміжна речовина температура Зберігання Тривалість стабільності Список літератури
шприц Пляшка для ін'єкцій 20 mg
Vepeside®
NaCl 0.9% >>2 ml
2-8°C Берегти від світла
31 День
1992

шприц Пляшка для ін'єкцій 20 mg
Vepeside®
NaCl 0.9% >>2 ml
20-25°C Зі світлом чи без
31 День
1992

шприц Пляшка для ін'єкцій 50 mg
VePesid®
NaCl 0.9% >> 5 ml
22°C Зі світлом чи без
22 День
2482


  Mentions Légales