Viimeisin päivitys :
05/12/2025
Infostab
Luettelo yhdisteistä
Yhteenveto-luettelot
Etsi yhteensopivuutta
Y-sivuston yhteensopivuustaulukko
Viitteet
tutkimus Joukkueet
valistab
ilmoitus
Liitännät
sponsorit
Tekijät
Käyttöohje
Uutiskirje
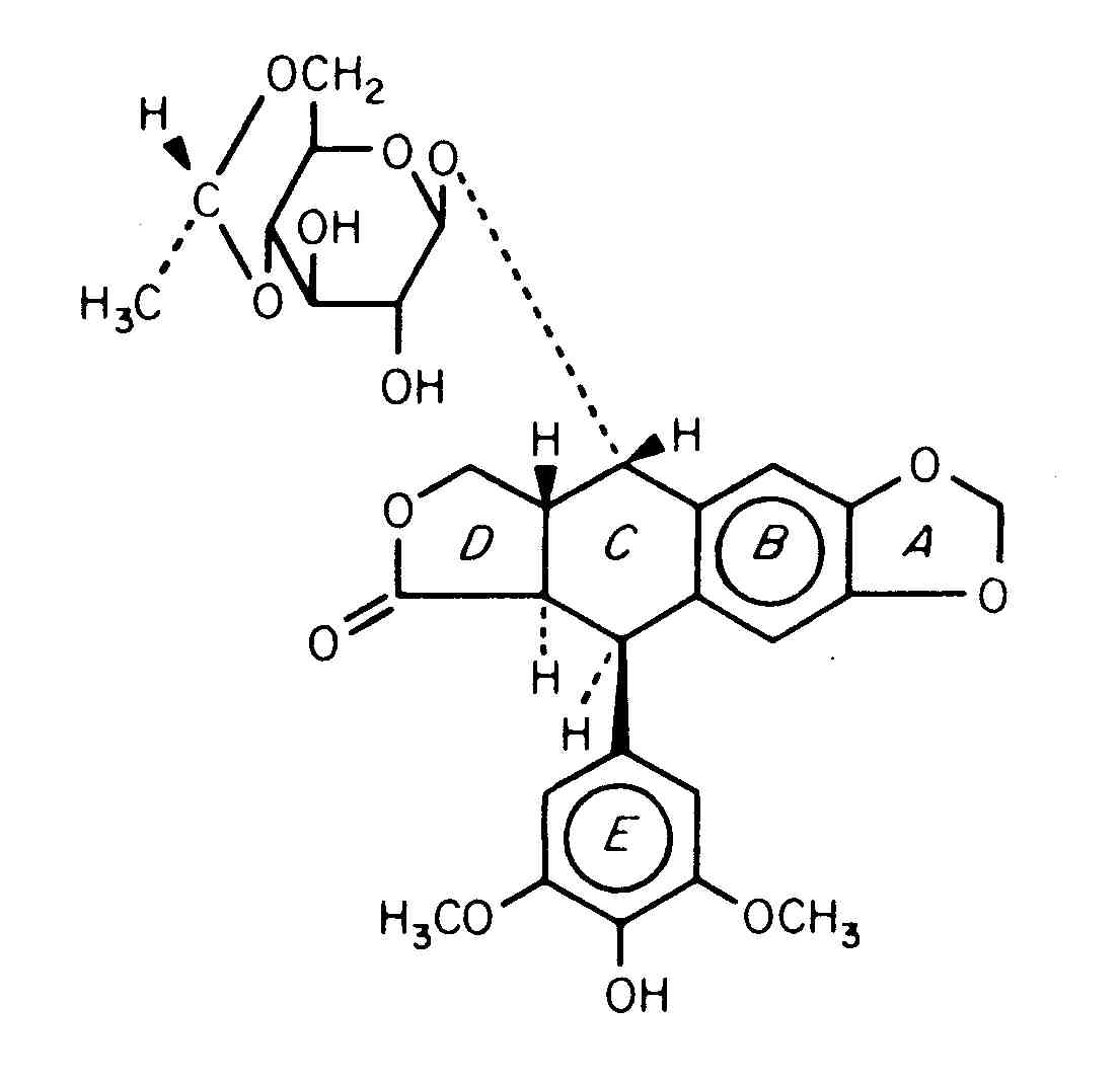
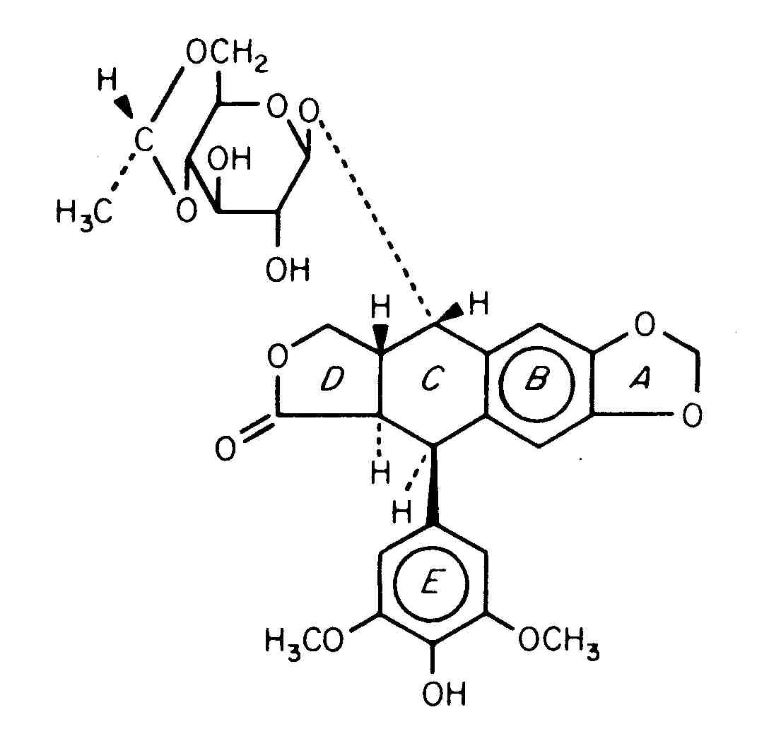
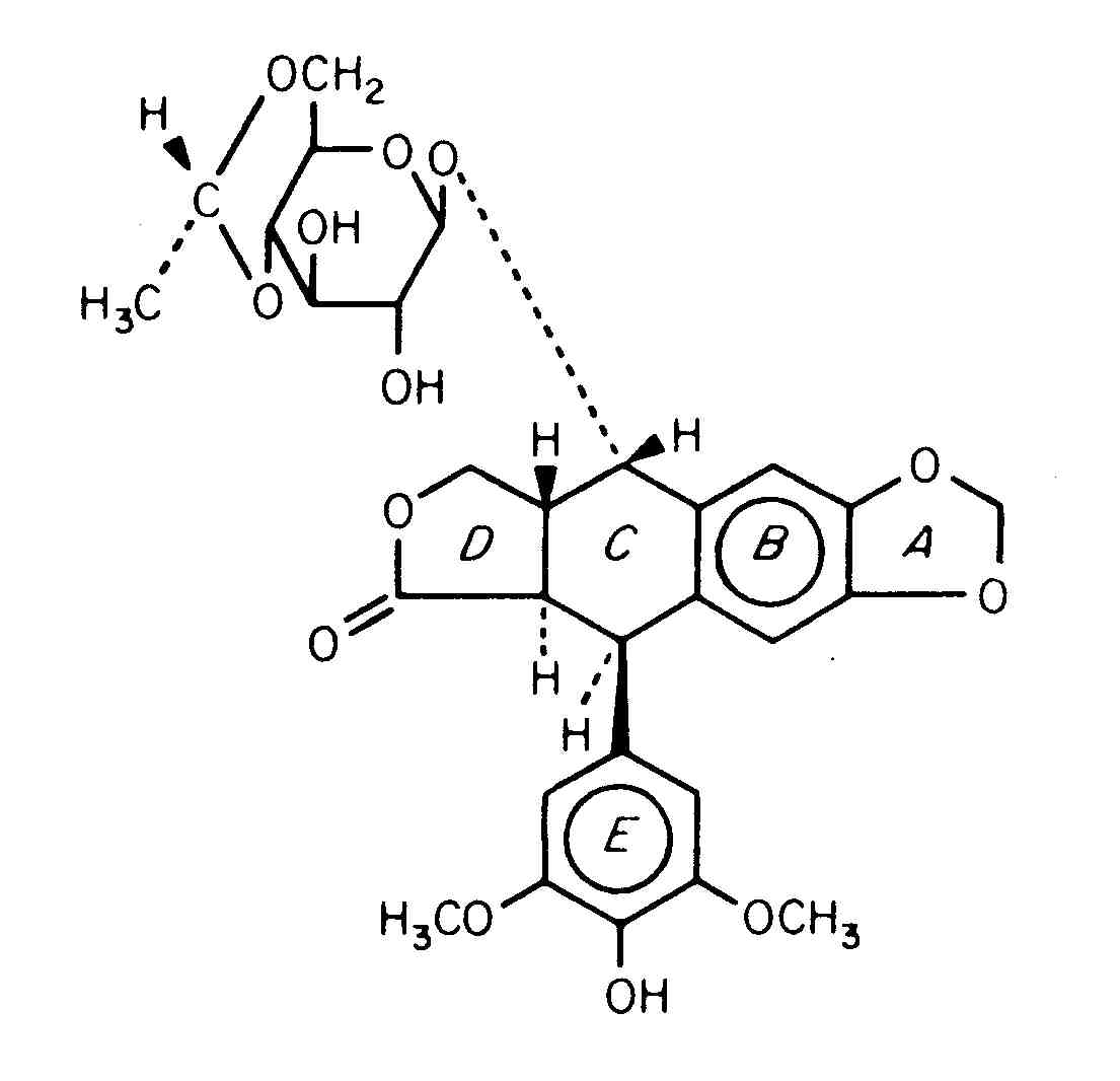
Etoposide
Kemiallinen rakenne
Vakaus lääkevalmisteen : Etoposide
20 mg
Vepeside®
NaCl 0,9 %
>>2 ml
2-8°C
31
1992
20 mg
Vepeside®
NaCl 0,9 %
>>2 ml
20-25°C
31
1992
50 mg
VePesid®
NaCl 0,9 %
>> 5 ml
22°C
22
2482
Mentions Légales