Laatste update :
27/01/2026
geneesmiddel tegen kanker   Etoposide  
Orale Oplossing
injecteerbaar geneesmiddel
Stabiliteit van farmaceutische preparaten Stabiliteit in mengsels Factoren die de stabiliteit beïnvloeden Verenigbaarheden Literatuur pdf
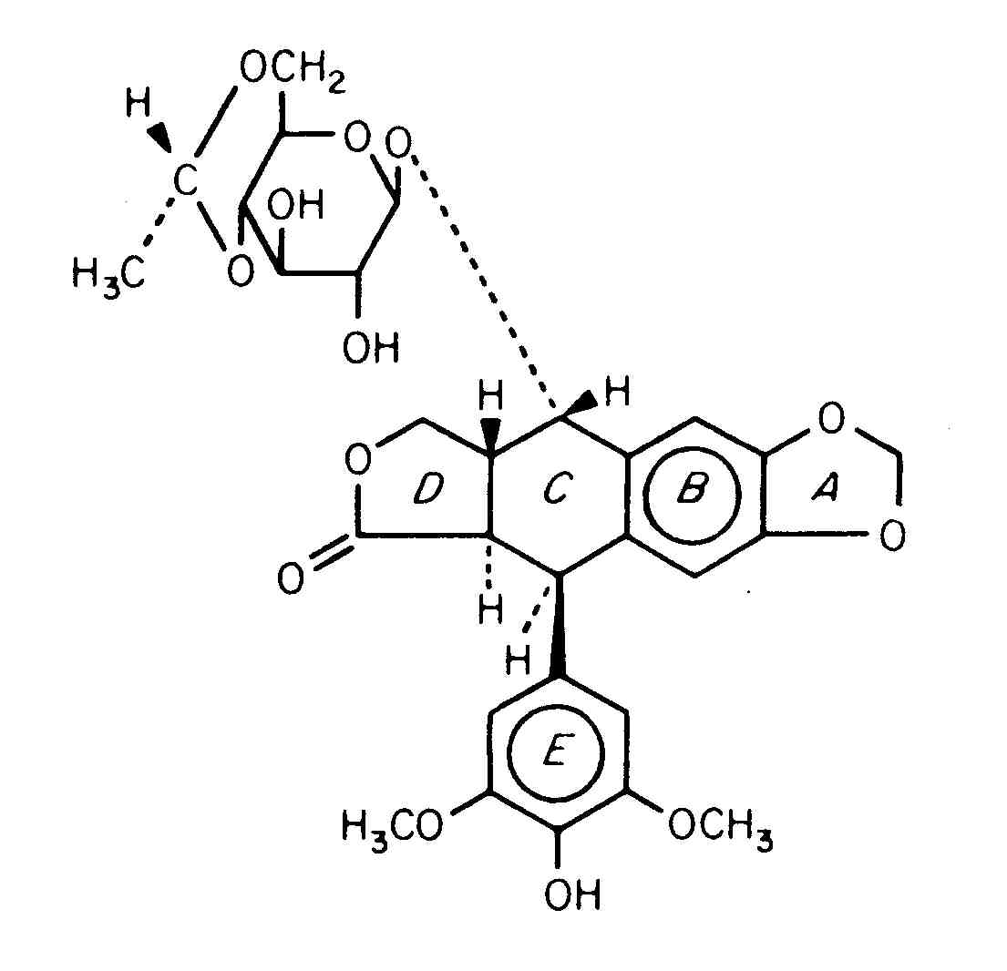
   Molecuulstructuur  

Orale Oplossing
Stabiliteit van farmaceutische preparaten   Orale Oplossing   Stabiliteit van farmaceutische preparaten : Etoposide     
Verpakking Origine  ikˈsipēənt hulpstof Temperatuur Bewaring Duur van de stabiliteit Literatuur
injectiespuit Geneeskunde fles voor injectie 20 mg
Vepeside®
NaCl 0.9% >>2 ml
2-8°C Buiten invloed van licht
31 Dag
1992

injectiespuit Geneeskunde fles voor injectie 20 mg
Vepeside®
NaCl 0.9% >>2 ml
20-25°C Met of zonder licht
31 Dag
1992

injectiespuit Geneeskunde fles voor injectie 50 mg
VePesid®
NaCl 0.9% >> 5 ml
22°C Met of zonder licht
22 Dag
2482


  Mentions Légales