Última actualização :
05/12/2025
droga contra o câncer   Etoposide  
Solução Oral
injetável
Estabilidade de preparações farmacêuticas Estabilidade em misturas Factores que afectam a sua estabilidade Compatibilidade Bibliografía pdf
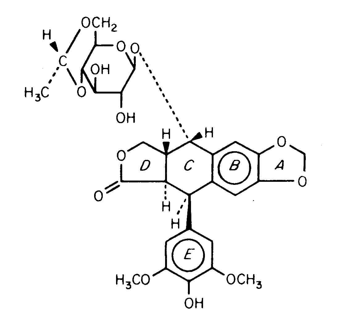
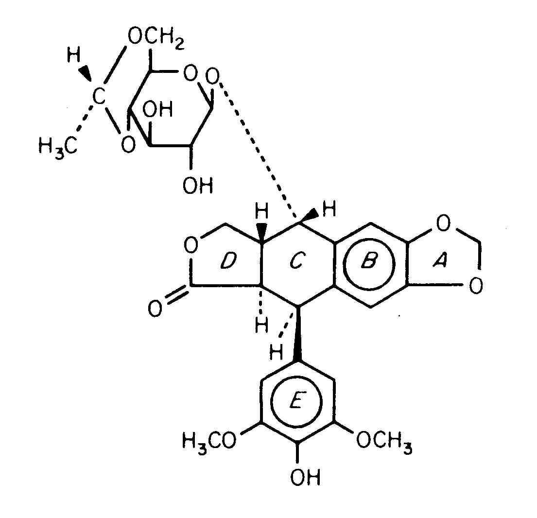
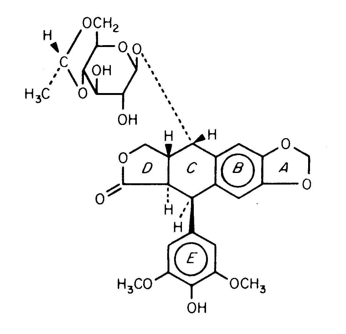
   estrutura química  

Solução Oral
Estabilidade de preparações farmacêuticas   Solução Oral   Estabilidade de preparações farmacêuticas : Etoposide     
Embalagem Origine excipiente temperatura conservação Duração da estabilidade Bibliografia
seringa frasco de medicamento para injeção 20 mg
Vepeside®
NaCl 0.9% >>2 ml
2-8°C ao abrigo da luz
31 dia
1992

seringa frasco de medicamento para injeção 20 mg
Vepeside®
NaCl 0.9% >>2 ml
20-25°C Com ou sem luz
31 dia
1992

seringa frasco de medicamento para injeção 50 mg
VePesid®
NaCl 0.9% >> 5 ml
22°C Com ou sem luz
22 dia
2482


  Mentions Légales