Ultimo aggiornamento :
27/01/2026
farmaco contro il cancro   Etoposide  
Soluzione orale
Iniezione
Stabilità dei preparati farmaceutici Stabilità in miscela Fattori che influenzano la stabilità Compatibilità Bibliografia pdf
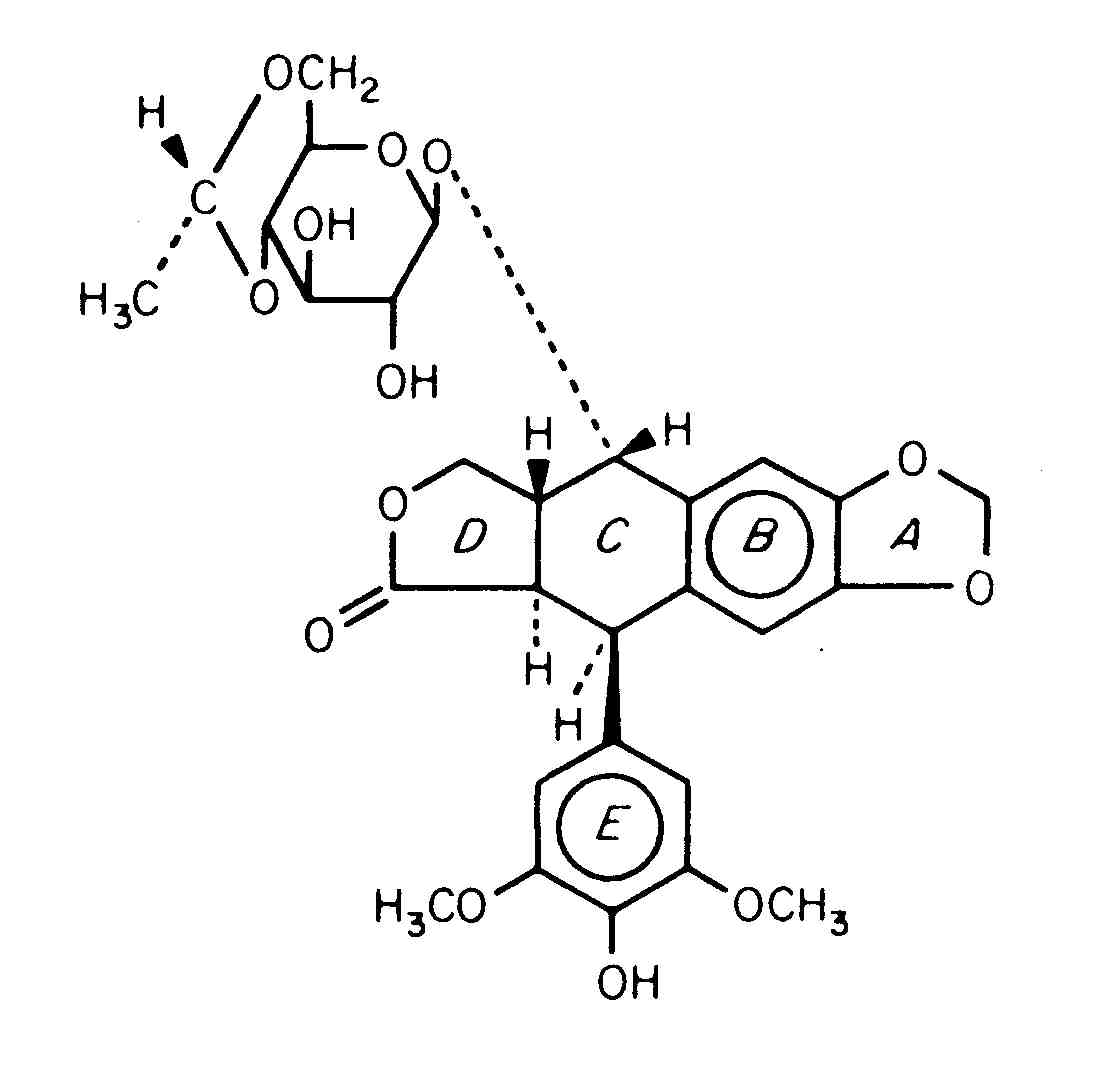
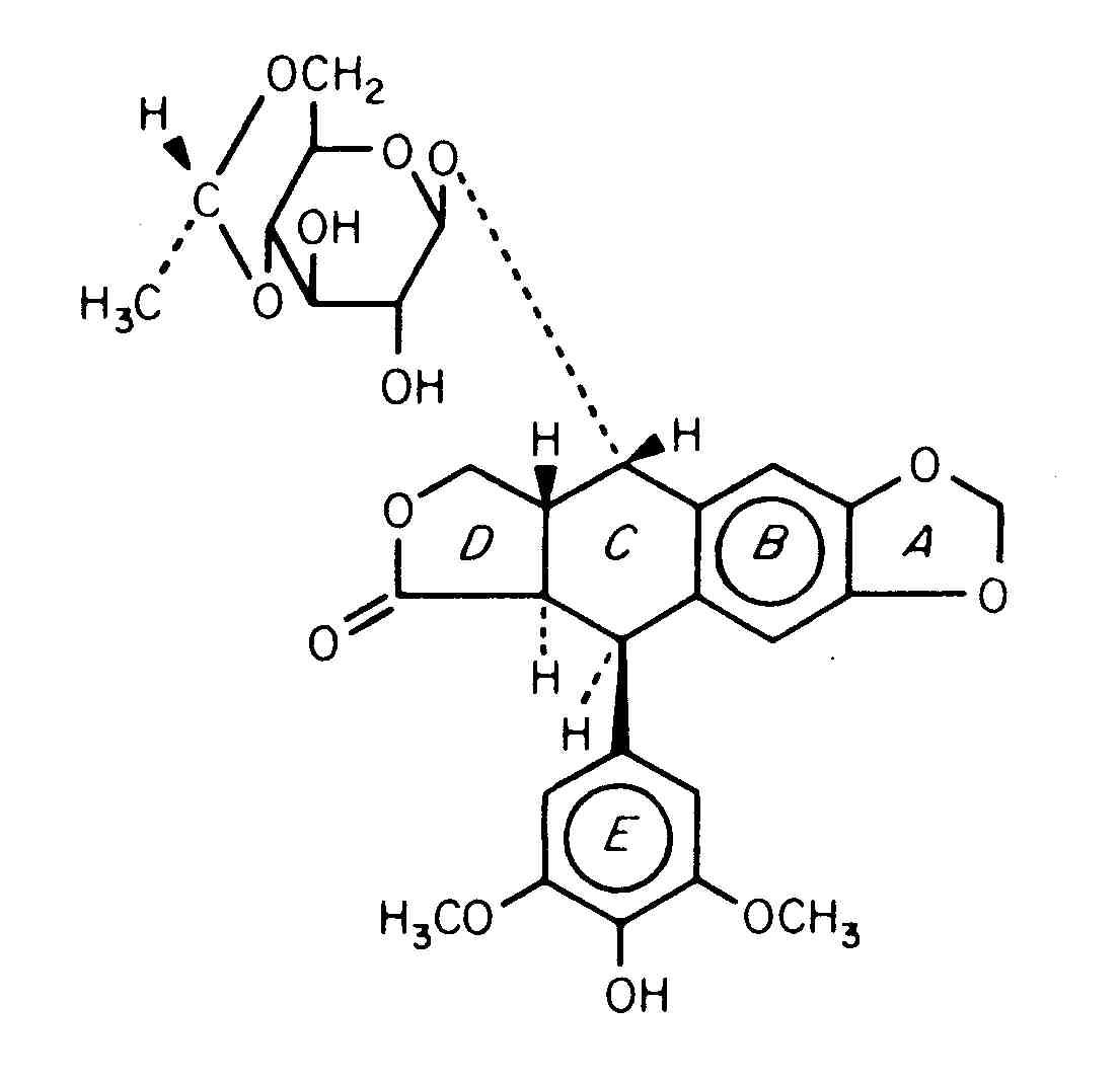
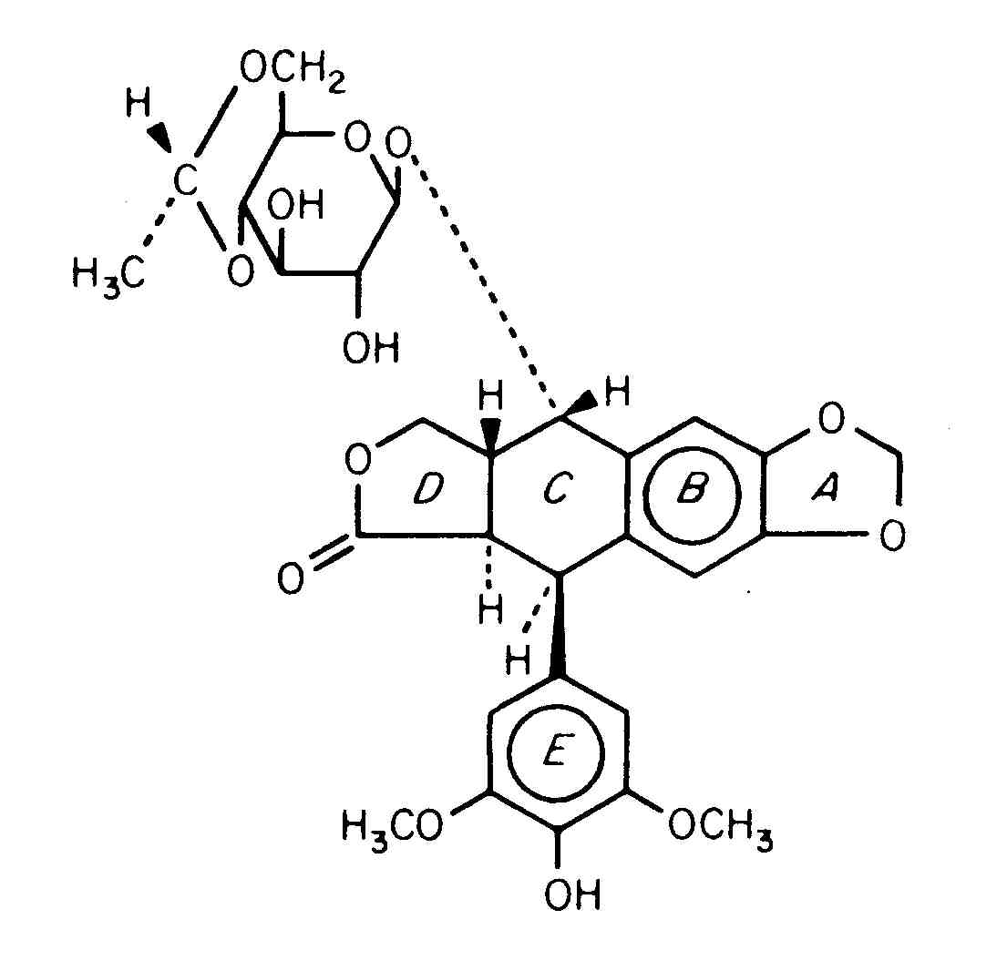
   Struttura chimica  

Soluzione orale
Stabilità dei preparati farmaceutici   Soluzione orale   Stabilità dei preparati farmaceutici : Etoposide     
contenitore Origine eccipiente Temperatura Conservazione Durata della stabilità Bibliografia
siringa Bottiglia di medicina per l'iniezione 20 mg
Vepeside®
NaCl 0.9% >>2 ml
2-8°C Al riparo dalla luce
31 Giorno
1992

siringa Bottiglia di medicina per l'iniezione 20 mg
Vepeside®
NaCl 0.9% >>2 ml
20-25°C Con o senza luce
31 Giorno
1992

siringa Bottiglia di medicina per l'iniezione 50 mg
VePesid®
NaCl 0.9% >> 5 ml
22°C Con o senza luce
22 Giorno
2482


  Mentions Légales