Pēdējā atjaunošana :
27/01/2026
Infostab
Saraksti
Kopsavilkums
Meklēt saderības
Y-savienojuma saderības tabula
Literatūras saraksts
pētniecības grupas
valistab
plakāts
Savienojumi
sponsori
Autori
Lietošanas instrukcija
Newsletter
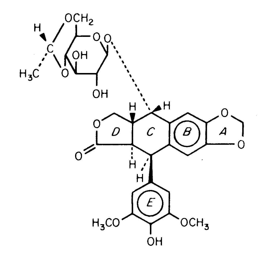
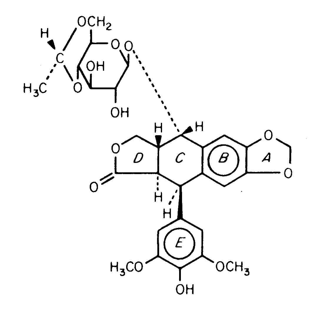
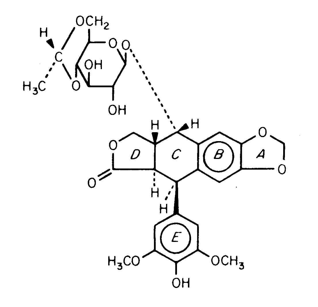
Etoposide
Ķīmiskā uzbūve
Stabilitāte farmaceitisko preparātu : Etoposide
20 mg
Vepeside®
NaCl 0.9%
>>2 ml
2-8°C
31
1992
20 mg
Vepeside®
NaCl 0.9%
>>2 ml
20-25°C
31
1992
50 mg
VePesid®
NaCl 0.9%
>> 5 ml
22°C
22
2482
Mentions Légales