viimane versioon :
18/03/2026
vähiravimite   Etoposide  
suukaudne lahus
Süsteravim
Stabiilsust ravimpreparaadid Stabiilsust mõjutavad tegurid stabiilsust mõjutavad faktorid Sobimatus Viited pdf
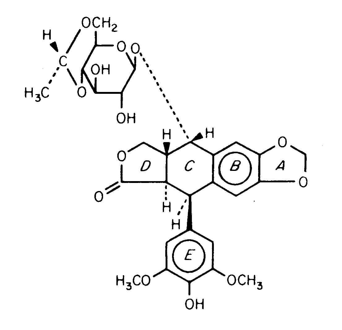
   keemiline struktuur  

suukaudne lahus
Stabiilsust ravimpreparaadid   suukaudne lahus   Stabiilsust ravimpreparaadid : Etoposide     
konteiner Origine  abiaine temperatuur ladustamine Stabiilsuse kestus Viited
süstal Süsteravimi viaal 20 mg
Vepeside®
NaCl 0.9% >>2 ml
2-8°C kaitsta valguse eest
31 päev
1992

süstal Süsteravimi viaal 20 mg
Vepeside®
NaCl 0.9% >>2 ml
20-25°C valgusega või ilma valguseta
31 päev
1992

süstal Süsteravimi viaal 50 mg
VePesid®
NaCl 0.9% >> 5 ml
22°C valgusega või ilma valguseta
22 päev
2482


  Mentions Légales