Τελευταία ενημέρωση :
27/01/2026
Infostab
Καταστάσεις
Περίληψη καταλόγων
Αναζήτηση συμβατοτήτων
Πίνακας Συμβατότητας Υ κέντρου
Βιβλιογραφία
Ερευνητικές ομάδες
valistab
αφίσα
συνδέσεις
χορηγούς
Συγγραφείς
Οδηγίες χρήσης
Ενημερωτικό δελτίο
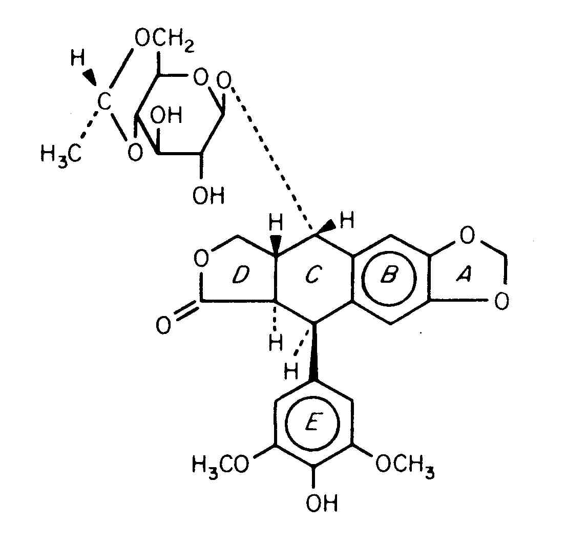
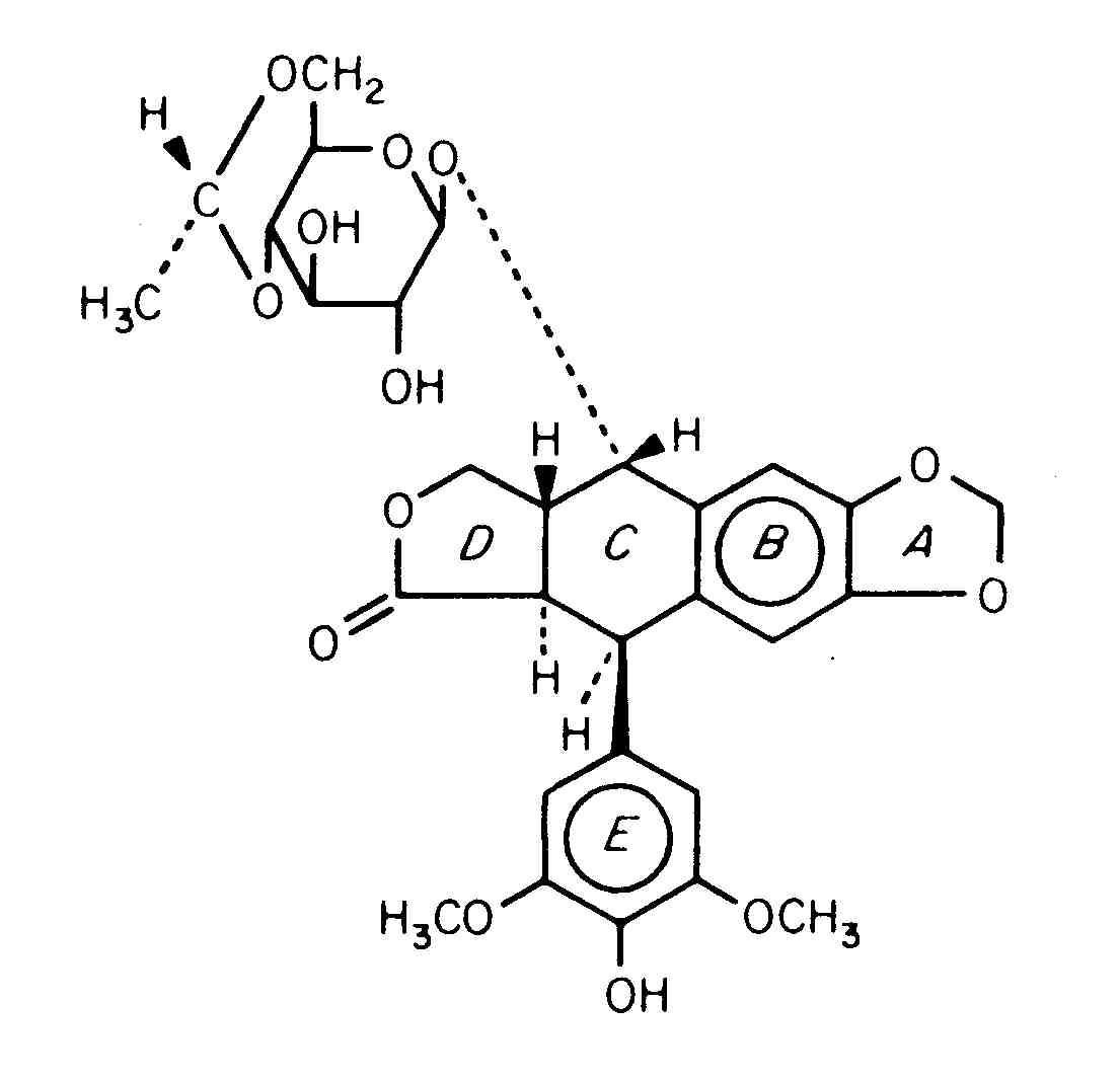
Etoposide
χημική δομή
Σταθερότητα και συμβατότητα των φαρμάκων : Etoposide
20 mg
Vepeside®
NaCl 0.9%
>>2 ml
2-8°C
31
1992
20 mg
Vepeside®
NaCl 0.9%
>>2 ml
20-25°C
31
1992
50 mg
VePesid®
NaCl 0.9%
>> 5 ml
22°C
22
2482
Mentions Légales