zadnja posodobitev :
18/03/2026
Antibiotik   Amoxicillin sodium / clavulanic acid  
Peroralna raztopina
Brizgalka
Stabilnost farmacevtskih preparatov Stabilnost mešanice Faktorji, ki vplivajo na stabilnost Kompatibilnost Viri pdf
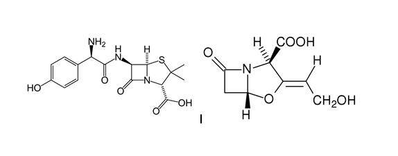
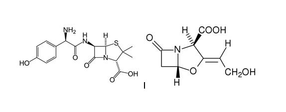
   Kemična formula  

Peroralna raztopina
Stabilnost mešanice   Peroralna raztopina   Stabilnost mešanice : Amoxicillin sodium / clavulanic acid     
ni podatka

  Mentions Légales