Laatste update :
18/03/2026
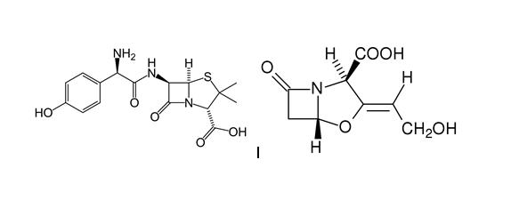
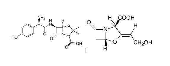
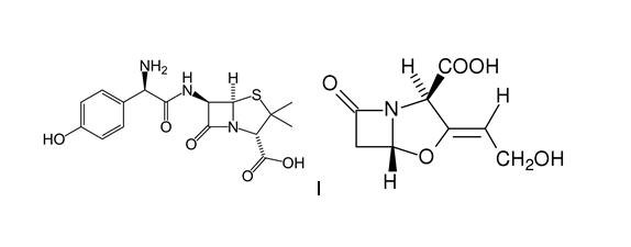
Antibioticum   Amoxicillin sodium / clavulanic acid  
Orale Oplossing
injecteerbaar geneesmiddel
Stabiliteit van farmaceutische preparaten Stabiliteit in mengsels Factoren die de stabiliteit beïnvloeden Verenigbaarheden Literatuur pdf
   Molecuulstructuur  

Orale Oplossing
Stabiliteit in mengsels   Orale Oplossing   Stabiliteit in mengsels : Amoxicillin sodium / clavulanic acid     
geen gegevens

  Mentions Légales