最新更新 :
27/11/2025
抗生素   Amoxicillin sodium / clavulanic acid  
口服剂
注射液
制剂的稳定性 混合物稳定性 影响稳定性的因素 兼容性 引用文献 PDF
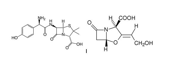
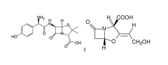
   化学式  

口服剂
混合物稳定性   口服剂   混合物稳定性 : Amoxicillin sodium / clavulanic acid     
无数据

  Mentions Légales