Τελευταία ενημέρωση :
05/12/2025
Αντιβιοτικό   Amoxicillin sodium / clavulanic acid  
Πόσιμο διάλυμα
Ενέσιμο
Σταθερότητα και συμβατότητα των φαρμάκων Σταθερότητα σε μίγματα Παράγοντας που επηρεάζει τη σταθερότητα Συμβατότητες Βιβλιογραφία pdf
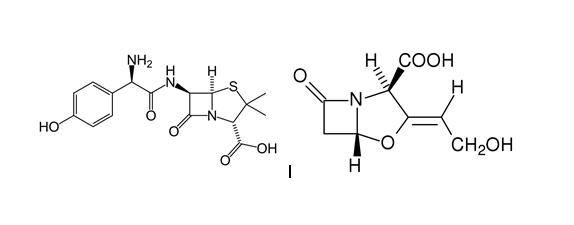
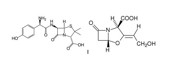
   χημική δομή  

Πόσιμο διάλυμα
Σταθερότητα σε μίγματα   Πόσιμο διάλυμα   Σταθερότητα σε μίγματα : Amoxicillin sodium / clavulanic acid     
Δεν υπάρχουν πληροφορίες

  Mentions Légales